24小时热门版块排行榜    

Znn3bq.jpeg
查看: 4049  |  回复: 24

434602804

金虫 (小有名气)


[交流] 超电容 三电极测试讨论功率密度到底有无意义???

如题,超电容在三电极体系下测试的
然后去计算讨论功率密度和能量密度 到底有没有意义啊,如果在paper上去讨论在三电极系统下的功率密度,是不是会被人笑话啊,因为我看paper上都两电极的才讨论功率和能量密度,求高人指点
回复此楼

» 收录本帖的淘帖专辑推荐

超电+锂电

» 猜你喜欢

» 抢金币啦!回帖就可以得到:

查看全部散金贴

已阅   回复此楼   关注TA 给TA发消息 送TA红花 TA的回帖
回帖支持 ( 显示支持度最高的前 50 名 )

mingyuexin

木虫 (小有名气)



434602804(金币+1): 谢谢参与
个人觉得:三电极来计算能量密度和功率密度没什么意义;二电极时,正负极活性材料的质量均要计算在内;而三电极只有工作电极有活性材料,参比电极和对电极无活性材料质量,将导致三电极的能量密度和功率密度高于二电极的数据,不是很科学。
8楼2012-11-10 11:32:09
已阅   回复此楼   关注TA 给TA发消息 送TA红花 TA的回帖

huizhu

金虫 (正式写手)



小木虫: 金币+0.5, 给个红包,谢谢回帖
三电极可以计算功率密度,能量密度;但是其数据没有任何意义可言。笔者就曾经这么做过,结果被审稿人批得体无完肤啊。
14楼2012-11-11 16:12:54
已阅   回复此楼   关注TA 给TA发消息 送TA红花 TA的回帖
普通回帖
★ ★ ★ ★
434602804(金币+1): 谢谢参与
434602804: 金币+3, 谢谢及时回复 2012-11-09 17:44:25
好像很多三电极测的也会算吧~不明白为什么不可以。
2楼2012-11-09 16:54:45
已阅   回复此楼   关注TA 给TA发消息 送TA红花 TA的回帖

434602804

金虫 (小有名气)


引用回帖:
2楼: Originally posted by xiejf at 2012-11-09 16:54:45
好像很多三电极测的也会算吧~不明白为什么不可以。

没有啊,我看到的 paper都是做成电容器(两电极)才算的,我读的paper也不少,你能提供一篇三电极的算的功率的吗
3楼2012-11-09 17:44:12
已阅   回复此楼   关注TA 给TA发消息 送TA红花 TA的回帖
Design and Synthesis of MnO2/Mn/MnO2 Sandwich-Structured
Nanotube Arrays with High Supercapacitive Performance for
Electrochemical Energy Storage
4楼2012-11-09 17:52:11
已阅   回复此楼   关注TA 给TA发消息 送TA红花 TA的回帖

434602804

金虫 (小有名气)


引用回帖:
4楼: Originally posted by xiejf at 2012-11-09 17:52:11
Design and Synthesis of MnO2/Mn/MnO2 Sandwich-Structured
Nanotube Arrays with High Supercapacitive Performance for
Electrochemical Energy Storage

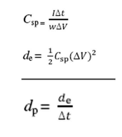
看了这篇nanoletter的文章,我觉得他计算功率密度的相当有问题啊,你看他的公式,如果把C代入energy density,然后再代入power density,得到的结果是power density=1/2I⊿V÷m,就是电流密度乘电压窗口,这和活性材料有个啥关系啊

我看别人的paper上算功率密度的是=P=V2/4Rs
Rs是等效电阻,这才对啊

这个paper也太假了吧,还是我理解不对

where I is the charge/discharge current,w is the mass of the active electrode material

5楼2012-11-09 18:53:38
已阅   回复此楼   关注TA 给TA发消息 送TA红花 TA的回帖

laramie

新虫 (初入文坛)


★ ★ ★ ★
434602804(金币+1): 谢谢参与
434602804: 金币+3, 关键他这个不是不规范的问题,而是就是错了啊,这也能发nanoletter。。 2012-11-10 21:47:26
引用回帖:
5楼: Originally posted by 434602804 at 2012-11-09 18:53:38
看了这篇nanoletter的文章,我觉得他计算功率密度的相当有问题啊,你看他的公式,如果把C代入energy density,然后再代入power density,得到的结果是power density=1/2I⊿V÷m,就是电流密度乘电压窗口,这和活性 ...

给作者发封信讨论一下吧, 关于超级电容的参数计算,从目前来看并没有统一的计算标准. 很多文献里的测试条件, 如电流密度本身都没有固定好, 比如说, 有用A/g的, 有用A/cm2的, SHELL的尺寸再不一样大,除活性材料外的比例和质量变化, 电极材料厚度也无法确定, 得到的结果也就无法比较. 应该建立统一的组装标准和计算标准, 比较才有意义.
6楼2012-11-10 11:21:30
已阅   回复此楼   关注TA 给TA发消息 送TA红花 TA的回帖

laramie

新虫 (初入文坛)



434602804: 金币+1, 恩 2012-11-10 21:47:48
我感觉如果不组装成超级电容器, 在烧杯里做测试说功率密度意义不大, 因为这涉及到传质的问题. 纽扣类电容压的很紧. 本人也是新手, 仅仅表示一下看法, 不一定对, 仅供参考.
7楼2012-11-10 11:28:49
已阅   回复此楼   关注TA 给TA发消息 送TA红花 TA的回帖

rubing100

木虫 (著名写手)



小木虫: 金币+0.5, 给个红包,谢谢回帖
引用回帖:
5楼: Originally posted by 434602804 at 2012-11-09 18:53:38
看了这篇nanoletter的文章,我觉得他计算功率密度的相当有问题啊,你看他的公式,如果把C代入energy density,然后再代入power density,得到的结果是power density=1/2I⊿V÷m,就是电流密度乘电压窗口,这和活性 ...

用P=V2/4RS算出来的是理论最大功率密度,用P=E/t算出来的是对应不同电流密度下的实际功率密度呀!
9楼2012-11-10 22:09:32
已阅   回复此楼   关注TA 给TA发消息 送TA红花 TA的回帖

434602804

金虫 (小有名气)


引用回帖:
4楼: Originally posted by xiejf at 2012-11-09 17:52:11
Design and Synthesis of MnO2/Mn/MnO2 Sandwich-Structured
Nanotube Arrays with High Supercapacitive Performance for
Electrochemical Energy Storage

你好,你也读了这篇文章了吧,我读了一下,我发现问题还不止这一个,你看他的figure 4a,如果是1.5A/g,算下来电容最多也就330F的样子,而他却说有937F/g!!而且图下面的notation还写成了1.5mA/g
这可是nano letter上面的文章啊,这也太假了吧
还是我的算法错了?求教
10楼2012-11-10 23:53:14
已阅   回复此楼   关注TA 给TA发消息 送TA红花 TA的回帖

434602804

金虫 (小有名气)


引用回帖:
9楼: Originally posted by rubing100 at 2012-11-10 22:09:32
用P=V2/4RS算出来的是理论最大功率密度,用P=E/t算出来的是对应不同电流密度下的实际功率密度呀!...

问题是你如果这样算的话,和时间是无关的,你不信把上面的公式代入看看,最后就是0.5电流密度乘电压窗口,有啥意义?
这个公式不对啊
11楼2012-11-10 23:56:28
已阅   回复此楼   关注TA 给TA发消息 送TA红花 TA的回帖

zhhmi

银虫 (正式写手)



小木虫: 金币+0.5, 给个红包,谢谢回帖
的确有,我们组发的是讨论了的,但是具体技术层面的机理不清楚
12楼2012-11-11 13:59:48
已阅   回复此楼   关注TA 给TA发消息 送TA红花 TA的回帖

zhhmi

银虫 (正式写手)



小木虫: 金币+0.5, 给个红包,谢谢回帖
其实三电极只是模拟极片的储能效果,2电极更能说明实际问题。
13楼2012-11-11 14:01:07
已阅   回复此楼   关注TA 给TA发消息 送TA红花 TA的回帖

434602804

金虫 (小有名气)


引用回帖:
12楼: Originally posted by zhhmi at 2012-11-11 13:59:48
的确有,我们组发的是讨论了的,但是具体技术层面的机理不清楚

能看下你们的文章吗?非常的困惑
15楼2012-11-11 16:20:10
已阅   回复此楼   关注TA 给TA发消息 送TA红花 TA的回帖

434602804

金虫 (小有名气)


引用回帖:
14楼: Originally posted by huizhu at 2012-11-11 16:12:54
三电极可以计算功率密度,能量密度;但是其数据没有任何意义可言。笔者就曾经这么做过,结果被审稿人批得体无完肤啊。

我觉得如果用这个P=V2/4Rs公式计算,还是有点意义的,他那个公式根本就是错的,不懂为什么还能发nanoletter
16楼2012-11-11 16:21:12
已阅   回复此楼   关注TA 给TA发消息 送TA红花 TA的回帖

huizhu

金虫 (正式写手)



小木虫: 金币+0.5, 给个红包,谢谢回帖
可以算,但是没有任何意义。楼主要是不信,自己可以试试,当然,小杂志可能也就过了,但是大杂志我就不敢说了
17楼2012-11-11 16:26:13
已阅   回复此楼   关注TA 给TA发消息 送TA红花 TA的回帖

laramie

新虫 (初入文坛)


引用回帖:
8楼: Originally posted by mingyuexin at 2012-11-10 11:32:09
个人觉得:三电极来计算能量密度和功率密度没什么意义;二电极时,正负极活性材料的质量均要计算在内;而三电极只有工作电极有活性材料,参比电极和对电极无活性材料质量,将导致三电极的能量密度和功率密度高于二电 ...

同感
18楼2012-11-12 07:37:47
已阅   回复此楼   关注TA 给TA发消息 送TA红花 TA的回帖

rubing100

木虫 (著名写手)



小木虫: 金币+0.5, 给个红包,谢谢回帖
引用回帖:
11楼: Originally posted by 434602804 at 2012-11-10 23:56:28
问题是你如果这样算的话,和时间是无关的,你不信把上面的公式代入看看,最后就是0.5电流密度乘电压窗口,有啥意义?
这个公式不对啊...

现在讨论的到底是三电极功率密度是否有意义,还公式使用的问题?按物理公式W=UIt,P=W/t=UI,本来就是与时间无关的呀。
19楼2012-11-12 13:39:39
已阅   回复此楼   关注TA 给TA发消息 送TA红花 TA的回帖

434602804

金虫 (小有名气)


引用回帖:
19楼: Originally posted by rubing100 at 2012-11-12 13:39:39
现在讨论的到底是三电极功率密度是否有意义,还公式使用的问题?按物理公式W=UIt,P=W/t=UI,本来就是与时间无关的呀。...

和时间有没有关系不是重点,重点是最后的结果是0.5电流密度乘电压窗口,和活性材料无关
20楼2012-11-13 15:39:26
已阅   回复此楼   关注TA 给TA发消息 送TA红花 TA的回帖

rubing100

木虫 (著名写手)



小木虫: 金币+0.5, 给个红包,谢谢回帖
引用回帖:
20楼: Originally posted by 434602804 at 2012-11-13 15:39:26
和时间有没有关系不是重点,重点是最后的结果是0.5电流密度乘电压窗口,和活性材料无关...

你的意思是无论两电极还是三电极都不能用P=E/t吗?我觉得,与活性材料是有关的,不同的活性材料所能实现的电流密度是不同的,反应在能量密度上,而功率密度等于能量密度除以放电时间是根据功率定义得出来的。
21楼2012-11-13 22:27:11
已阅   回复此楼   关注TA 给TA发消息 送TA红花 TA的回帖

434602804

金虫 (小有名气)


引用回帖:
21楼: Originally posted by rubing100 at 2012-11-13 22:27:11
你的意思是无论两电极还是三电极都不能用P=E/t吗?我觉得,与活性材料是有关的,不同的活性材料所能实现的电流密度是不同的,反应在能量密度上,而功率密度等于能量密度除以放电时间是根据功率定义得出来的。...

我与那篇文章的作者发信联系了,他说他们能量密度中的C用的是cv算出来的C,然后再除以t
22楼2012-11-14 19:13:39
已阅   回复此楼   关注TA 给TA发消息 送TA红花 TA的回帖

晴空碰碰车

新虫 (小有名气)



小木虫: 金币+0.5, 给个红包,谢谢回帖
引用回帖:
22楼: Originally posted by 434602804 at 2012-11-14 19:13:39
我与那篇文章的作者发信联系了,他说他们能量密度中的C用的是cv算出来的C,然后再除以t...

那这样也就是说他计算出来的C 首先就是对应的不同扫速下的电容了 扫速不同 几分面积在变化 C肯定也会变。。那最终的E和P也就是不同扫速下的E和P了啊。。。如果用充放电计算出来的C 也是这个道理 不同放电电流密度下的E和P
23楼2013-06-21 18:19:50
已阅   回复此楼   关注TA 给TA发消息 送TA红花 TA的回帖

晴空碰碰车

新虫 (小有名气)



小木虫: 金币+0.5, 给个红包,谢谢回帖
引用回帖:
22楼: Originally posted by 434602804 at 2012-11-14 19:13:39
我与那篇文章的作者发信联系了,他说他们能量密度中的C用的是cv算出来的C,然后再除以t...

还有个问题 这个t是什么t? 是用的充放电里的放电时间?? 还是CV里面在一定扫速下扫一个循环所用的时间?
24楼2013-06-21 18:22:57
已阅   回复此楼   关注TA 给TA发消息 送TA红花 TA的回帖

mtyhyzn

铜虫 (小有名气)



小木虫: 金币+0.5, 给个红包,谢谢回帖
引用回帖:
5楼: Originally posted by 434602804 at 2012-11-09 18:53:38
看了这篇nanoletter的文章,我觉得他计算功率密度的相当有问题啊,你看他的公式,如果把C代入energy density,然后再代入power density,得到的结果是power density=1/2I⊿V÷m,就是电流密度乘电压窗口,这和活性 ...

你忽略了一个关键问题,那就是你默认电压窗口是不变的。但是不同的材料在不同的电流密度下,是会有不同的压降的,这里的的电位窗口取的是扣掉IR压降后的电位窗口。所以,和活性物质还是有关的。
25楼2013-07-28 11:30:34
已阅   回复此楼   关注TA 给TA发消息 送TA红花 TA的回帖
相关版块跳转 我要订阅楼主 434602804 的主题更新
普通表情 高级回复 (可上传附件)
最具人气热帖推荐 [查看全部] 作者 回/看 最后发表
[考研] 277 数一104,学硕,求调剂 +8 瓶子PZ 2026-04-09 8/400 2026-04-10 00:17 by lwk2004
[考研] 一志愿华中农微生物,288分,三年实验经历 +9 代fish 2026-04-09 9/450 2026-04-09 21:46 by bljnqdcc
[考研] 080100力学316求调剂 +4 L_Hairui 2026-04-07 4/200 2026-04-09 21:17 by wutongshun
[考研] 085400 328分 求调剂 +8 喂你一个大橙子 2026-04-09 12/600 2026-04-09 19:20 by zl8213662
[考研] 367求调剂 +10 hffQAQ 2026-04-09 10/500 2026-04-09 18:06 by lijunpoly
[考研] 一志愿中科院105500专业总分315求调剂 +6 lallalh 2026-04-09 7/350 2026-04-09 17:51 by lallalh
[考研] 一志愿鲁东大学071000生物学学硕初试分数276求调剂 +19 慕绝cc 2026-04-09 23/1150 2026-04-09 17:14 by 段伟艳
[考研] 材料专硕322 +14 哈哈哈吼吼吼哈 2026-04-05 14/700 2026-04-09 13:25 by 5268321
[考研] 化工学硕 285求调剂 +26 Wisjxn 2026-04-07 26/1300 2026-04-08 14:42 by screening
[考研] 315求调剂 +17 欣喜777 2026-04-04 18/900 2026-04-08 13:54 by hangsimei
[考研] 生物医药调剂|SCI中科院三区一作+多项科研成果 +8 likangxing 2026-04-07 11/550 2026-04-08 00:02 by lys0704
[考研] 344求调剂 +11 魏子per 2026-04-07 11/550 2026-04-07 23:01 by JourneyLucky
[考研] 336材料与化工085600求调剂 +19 水星记infp 2026-04-05 22/1100 2026-04-07 21:11 by yongzhesheng
[考研] 328求调剂 +4 ghhh88888 2026-04-06 5/250 2026-04-07 14:45 by ghhh88888
[考研] 080500求调剂 +12 黄宇博 2026-04-06 12/600 2026-04-07 12:41 by upczlm1989
[考研] 求调剂 +5 小沢 2026-04-03 5/250 2026-04-06 22:45 by 875465
[考研] 求调剂到材料 +5 程9915 2026-04-06 5/250 2026-04-06 15:21 by yulian1987
[考研] 一志愿安徽某211 0703化学总分339求调剂 +7 晚风不晚 2026-04-04 7/350 2026-04-06 14:06 by houyaoxu
[考研] 308求调剂 +4 maverick^_^ 2026-04-03 4/200 2026-04-05 19:08 by 蓝云思雨
[考研] 一志愿南农090401,268,求调剂 +5 一木鸟然 2026-04-04 5/250 2026-04-04 17:07 by babysonlkd
信息提示
请填处理意见