| 查看: 384 | 回复: 2 | |
[求助]
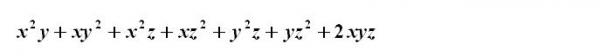
因式分解一题5金币
|
|
|
|
|
erghper铜虫 (小有名气)
|
|
|
2楼2012-11-05 20:17:15
|
|
秋雨飞叶木虫 (小有名气)
|
|
|
3楼2012-11-05 23:23:00
|
|














回复此楼