版块导航
正在加载中...
客户端APP下载
论文辅导
申博辅导
登录
注册
帖子
帖子
用户
本版
应《网络安全法》要求,自2017年10月1日起,未进行实名认证将不得使用互联网跟帖服务。为保障您的帐号能够正常使用,请尽快对帐号进行手机号验证,感谢您的理解与支持!
24小时热门版块排行榜
>
论坛更新日志
(665)
>
虫友互识
(27)
>
休闲灌水
(27)
>
导师招生
(25)
>
硕博家园
(4)
>
考博
(4)
>
论文投稿
(4)
>
论文道贺祈福
(3)
>
基金申请
(3)
>
教师之家
(3)
>
找工作
(3)
>
文献求助
(3)
>
公派出国
(3)
>
博后之家
(2)
>
外文书籍求助
(2)
>
考研
(2)
小木虫论坛-学术科研互动平台
»
计算模拟区
»
程序语言
»
汇编语言
»
这个方程怎么解啊?
南方科技大学公共卫生及应急管理学院2025级博士研究生招生报考通知
4
1/1
返回列表
查看: 696 | 回复: 3
只看楼主
@他人
存档
新回复提醒
(忽略)
收藏
在APP中查看
河畔的木子
银虫
(小有名气)
应助: 4
(幼儿园)
金币: 1351.9
散金: 40
红花: 2
帖子: 170
在线: 136.1小时
虫号: 1459203
注册: 2011-10-24
专业: 水文、水资源
[
求助
]
这个方程怎么解啊?
这个方程如何解啊?郁闷!
U%YN0Y`7518_)921OQ@CX8F.jpg
回复此楼
» 猜你喜欢
三甲基碘化亚砜的氧化反应
已经有4人回复
请问下大家为什么这个铃木偶联几乎不反应呢
已经有5人回复
请问有评职称,把科研教学业绩算分排序的高校吗
已经有5人回复
孩子确诊有中度注意力缺陷
已经有12人回复
2025冷门绝学什么时候出结果
已经有3人回复
天津工业大学郑柳春团队欢迎化学化工、高分子化学或有机合成方向的博士生和硕士生加入
已经有4人回复
康复大学泰山学者周祺惠团队招收博士研究生
已经有6人回复
AI论文写作工具:是科研加速器还是学术作弊器?
已经有3人回复
论文投稿,期刊推荐
已经有4人回复
硕士和导师闹得不愉快
已经有13人回复
» 本主题相关价值贴推荐,对您同样有帮助:
各位朋友,如何用matlab编写这个方程,并求解?
已经有15人回复
若微风方程中带关于解的积分项,该如何处理这一项?
已经有3人回复
拜求,这种带参数的方程怎么解比较好?
已经有4人回复
求助这个非线性方程改怎么解啊??
已经有4人回复
求各位前辈帮忙!matlab解复数方程,出现图中的警告,怎来修改呢?谢谢了啊
已经有5人回复
就解方程组,未知数不收敛,要怎么办?诚求!
已经有12人回复
想用comsol解泊松方程,却不知道怎么设边界条件
已经有7人回复
【求助】如何解这样的方程组【有效期至2011年4月30日】
已经有9人回复
如何获得方程的近似级数解
已经有8人回复
【求助】这里有一个方程的解看不懂
已经有11人回复
【求助】求教 多元指数方程如何解 有软件否?
已经有6人回复
【求助】如何解这个常微分方程【已完结】
已经有9人回复
1楼
2012-10-28 10:20:39
已阅
回复此楼
关注TA
给TA发消息
送TA红花
TA的回帖
河畔的木子
银虫
(小有名气)
应助: 4
(幼儿园)
金币: 1351.9
散金: 40
红花: 2
帖子: 170
在线: 136.1小时
虫号: 1459203
注册: 2011-10-24
专业: 水文、水资源
怎么用matlab实现这个方程的解呢?我自己试了出现虚数了,求高手指点啊!
赞
一下
回复此楼
2楼
2012-10-28 10:25:50
已阅
回复此楼
关注TA
给TA发消息
送TA红花
TA的回帖
dingd
铁杆木虫
(职业作家)
应助: 1641
(讲师)
金币: 15037.3
散金: 101
红花: 234
帖子: 3410
在线: 1223.5小时
虫号: 291104
注册: 2006-10-28
【答案】应助回帖
感谢参与,应助指数 +1
把已知数F0和l3给出来看看。
赞
一下
回复此楼
3楼
2012-10-28 20:08:04
已阅
回复此楼
关注TA
给TA发消息
送TA红花
TA的回帖
河畔的木子
银虫
(小有名气)
应助: 4
(幼儿园)
金币: 1351.9
散金: 40
红花: 2
帖子: 170
在线: 136.1小时
虫号: 1459203
注册: 2011-10-24
专业: 水文、水资源
引用回帖:
3楼
:
Originally posted by
dingd
at 2012-10-28 20:08:04
把已知数F0和l3给出来看看。
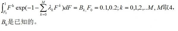
这个是原本的方程,我昨天自己化简错了,这个方程最终是要求出lk.
5O2B(~HCI1(BG$DQ%I2~~FD.jpg
赞
一下
回复此楼
4楼
2012-10-29 09:45:08
已阅
回复此楼
关注TA
给TA发消息
送TA红花
TA的回帖
相关版块跳转
第一性原理
量子化学
计算模拟
分子模拟
仿真模拟
程序语言
我要订阅楼主
河畔的木子
的主题更新
4
1/1
返回列表
如果回帖内容含有宣传信息,请如实选中。否则帐号将被全论坛禁言
普通表情
龙
兔
虎
猫
百度网盘
|
360云盘
|
千易网盘
|
华为网盘
在新窗口页面中打开自己喜欢的网盘网站,将文件上传后,然后将下载链接复制到帖子内容中就可以了。
信息提示
关闭
请填处理意见
关闭
确定