| 查看: 447 | 回复: 2 | ||
liufang8013金虫 (小有名气)
|
[求助]
水喷淋保护下隔热材料的温度分布计算
|
|
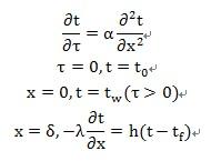
隔热材料外表面保持一恒定高温,内表面用水喷淋降温,如何计算隔热材料的温度分布? 可以看做一维非稳态导热,外表面属于第一类边界条件,内表面属于第三类边界条件,数学描述如图,分离变量法好像行不通,求大侠指导,不胜感激! 数学描述.jpg |
» 猜你喜欢
体制内长辈说体制内绝大部分一辈子在底层,如同你们一样大部分普通教师忙且收入低
已经有10人回复
过年走亲戚时感受到了所开私家车的鄙视链
已经有9人回复
今年春晚有几个节目很不错,点赞!
已经有10人回复
情人节自我反思:在爱情中有过遗憾吗?
已经有10人回复
基金正文30页指的是报告正文还是整个申请书
已经有5人回复
» 本主题相关商家推荐: (我也要在这里推广)
天也潇潇
版主 (职业作家)
快乐大侠--潇潇
- EPI: 3
- 应助: 37 (小学生)
- 贵宾: 0.644
- 金币: 6800.6
- 散金: 3674
- 红花: 35
- 沙发: 19
- 帖子: 4895
- 在线: 573.1小时
- 虫号: 867875
- 注册: 2009-10-10
- 专业: 传热传质学
- 管辖: 能源
2楼2012-10-24 13:55:05
wyjcumt
铁杆木虫 (著名写手)
- 应助: 14 (小学生)
- 金币: 21195.4
- 散金: 600
- 红花: 2
- 帖子: 2544
- 在线: 249.5小时
- 虫号: 1163664
- 注册: 2010-12-06
- 性别: GG
- 专业: 建筑物理
3楼2012-10-24 22:09:04













回复此楼