版块导航
正在加载中...
客户端APP下载
论文辅导
申博辅导
登录
注册
帖子
帖子
用户
本版
应《网络安全法》要求,自2017年10月1日起,未进行实名认证将不得使用互联网跟帖服务。为保障您的帐号能够正常使用,请尽快对帐号进行手机号验证,感谢您的理解与支持!
24小时热门版块排行榜
>
论坛更新日志
(276)
>
虫友互识
(14)
>
论文投稿
(7)
>
导师招生
(5)
>
博后之家
(3)
>
公派出国
(3)
>
论文道贺祈福
(2)
>
考博
(2)
>
找工作
(2)
>
文献求助
(2)
>
休闲灌水
(2)
>
第一性原理
(1)
>
基金申请
(1)
>
外文书籍求助
(1)
>
教师之家
(1)
小木虫论坛-学术科研互动平台
»
化学化工区
»
电化学
»
电分析测试
»
请教一个聚合物电解质的LSV谱图解析
4
1/1
返回列表
查看: 1612 | 回复: 3
只看楼主
@他人
存档
新回复提醒
(忽略)
收藏
在APP中查看
皓月当空8838
银虫
(正式写手)
应助: 0
(幼儿园)
金币: 225
帖子: 344
在线: 64.4小时
虫号: 666601
[交流]
请教一个聚合物电解质的LSV谱图解析
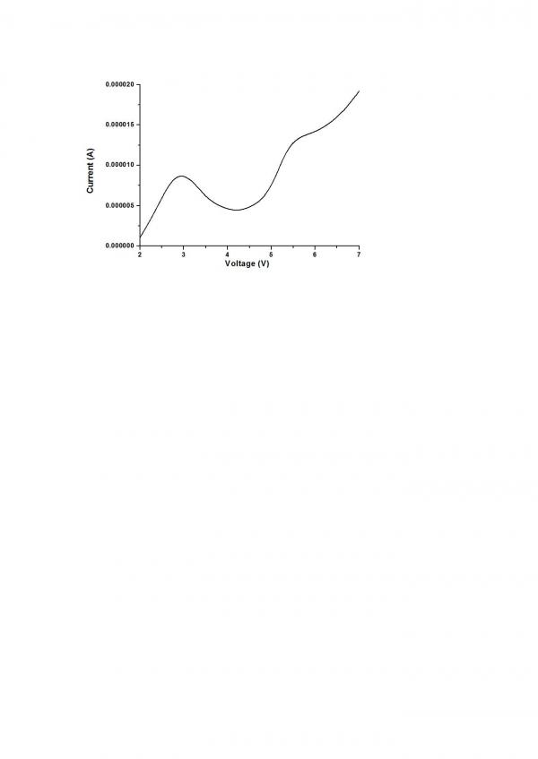
图中为一种聚合物锂盐的LSV曲线,测试方法是采用两个不锈钢电极,中间是聚合物锂盐膜和锂片。想请问在三左右的氧化峰是什么峰呢,有人说是锂片被氧化的峰。请高手赐教!
Doc1.jpg
回复此楼
» 猜你喜欢
青岛大学化学化工学院分子测量学研究院2026年招收博士研究生
已经有0人回复
香港科技大学(广州)诚招电催化方向博士生(2026秋入学)
已经有0人回复
物理化学论文润色/翻译怎么收费?
已经有210人回复
求助Cu2+1O的CIF文件(PDF: 05-0667)
已经有1人回复
KAUST(阿卜杜拉国王科技大学)MXene 器件方向博士后招聘
已经有0人回复
沙特阿拉伯阿卜杜拉国王科技大学(KAUST)电池方向博士后招聘
已经有0人回复
福州大学新能源材料与工程研究院招收2026年入学博士
已经有0人回复
海南师范大学2026年博士研究生招收 (在职想提升学历人员可报考) 申请考核制
已经有0人回复
锂离子电池循环寿命衰减过快,求机理分析与改进思路
已经有1人回复
求博导收留
已经有5人回复
高级回复
» 本主题相关价值贴推荐,对您同样有帮助:
聚合物电解质PVDF/PMMA共混膜的制备
已经有14人回复
请教电池的隔膜和聚合物固体电解质。
已经有12人回复
跪求用交流阻抗法测试聚合物电解质膜的本体电阻
已经有12人回复
【课件】氧化还原活性凝胶聚合物电解质及鸡蛋膜在超级电容器中的应用
已经有27人回复
聚合物的红外谱图 帮忙看看
已经有6人回复
Materials studio模拟聚合物红外光谱图
已经有32人回复
为什么我按照文献中做的聚合物电解质不导电?
已经有30人回复
请问各位虫友 聚合物电解质的膜 怎么测电导率 具体的方法 谢谢
已经有8人回复
聚合物红外光谱图 要怎么分析?请各位高手指点,谢谢!
已经有10人回复
红外光谱聚合物图分析遇到问题了。怎么办?
已经有12人回复
聚合物红外谱图怎么看
已经有8人回复
【求助】请问如何将聚合物电解质做成膜
已经有7人回复
【求助】DSC谱图分析,确定聚合物
已经有24人回复
【求助】求助聚合物电解质的文献和专利
已经有7人回复
» 抢金币啦!回帖就可以得到:
查看全部散金贴
哈尔滨工程大学青岛创新发展基地招聘青年教师
+
1
/473
nanomaterials特刊:纳米材料在电化学能源领域的应用(SCI 中科院三区,IF4.5)征稿
+
5
/200
天津科技大学邓启良教授团队 招收2026年博士生
+
1
/87
【2026/2027 哈工大计算机类博士招生】
+
1
/78
南京林业大学特聘教授招聘博后和博士研究生
+
1
/75
海南大学海洋清洁能源创新团队(光电催化方向)招收2026年博士研究生(第二批)
+
5
/55
意大利米兰理工大学急聘CSC公派留学博士生(物理或无机材料科学方向)
+
2
/32
教育部重点实验室和清华大学某国家重点实验室,联合培养硕生、博生,并长期招博士后
+
1
/30
南方医科大学生物医学工程学院招收申请考核制博士生2名、博士后2名(2026)
+
1
/30
教育部重点实验室和清华大学某国家重点实验室,联合培养硕生、博生,并长期招博士后
+
1
/27
华南理工大学宋波教授招聘化学和材料方向博士后(长期有效)
+
1
/17
太原理工大学集成电路学院院长团队招收2026年博士研究生
+
1
/13
四川大学华西医院沈百荣教授课题组科研助理招聘启事
+
1
/10
复旦大学化学系凡勇教授/张凡教授团队招聘博士后
+
1
/8
山东大学集成电路学院王凌云研究员招收2026年硕士生及联合培养硕士生
+
1
/4
以色列理工-生物质塑料等催化转化及流体力学方向---全奖博士研究生和科研助理
+
2
/4
顾敏院士课题组招收2026级光学工程专业博士研究生-上海理工大学智能科技学院
+
1
/3
生信(包括AI)博后招聘(3名):美国德州理工大学健康科学中心
+
1
/2
福建师范大学柔性电子学院 院士团队招2026级博士 光电器件、发光传感忆阻器
+
1
/1
澳科大诚招2026年秋季生物材料全奖博士研究生(今日16:30线上宣讲会)
+
1
/1
1楼
2012-10-23 21:46:19
已阅
回复此楼
关注TA
给TA发消息
送TA红花
TA的回帖
shawn416
金虫
(正式写手)
应助: 3
(幼儿园)
金币: 1037.8
帖子: 639
在线: 377.6小时
虫号: 1162518
★
皓月当空8838(金币+1): 谢谢参与
在测电化学稳定性吧 ?聚合物锂盐膜说的不是很明白,建议把聚合物的信息说清楚些,这样更有助于大家参考
赞
一下
回复此楼
2楼
2012-10-23 21:55:52
已阅
回复此楼
关注TA
给TA发消息
送TA红花
TA的回帖
皓月当空8838
银虫
(正式写手)
应助: 0
(幼儿园)
金币: 225
帖子: 344
在线: 64.4小时
虫号: 666601
就是图中的盐加上PVDF成膜测得的LSV,用锂片做参比,担心3V左右的那个峰是盐的氧化峰,请大家赐教,非常感谢!
1.png
赞
一下
回复此楼
3楼
2012-10-24 09:36:28
已阅
回复此楼
关注TA
给TA发消息
送TA红花
TA的回帖
shawn416
金虫
(正式写手)
应助: 3
(幼儿园)
金币: 1037.8
帖子: 639
在线: 377.6小时
虫号: 1162518
这个锂盐是你自己合成的吗 ?估计稳定性不好,或者存在不稳定的杂质?要不做下CV试试 ?
赞
一下
回复此楼
4楼
2013-01-11 12:53:32
已阅
回复此楼
关注TA
给TA发消息
送TA红花
TA的回帖
相关版块跳转
有机交流
有机资源
高分子
无机/物化
分析
催化
工艺技术
化工设备
石油化工
精细化工
电化学
环境
SciFinder/Reaxys
我要订阅楼主
皓月当空8838
的主题更新
4
1/1
返回列表
如果回帖内容含有宣传信息,请如实选中。否则帐号将被全论坛禁言
普通表情
龙
兔
虎
猫
高级回复
(可上传附件)
百度网盘
|
360云盘
|
千易网盘
|
华为网盘
在新窗口页面中打开自己喜欢的网盘网站,将文件上传后,然后将下载链接复制到帖子内容中就可以了。
信息提示
关闭
请填处理意见
关闭
确定