| ²é¿´: 233 | »Ø¸´: 0 | ||
xuanyanghouͳæ (СÓÐÃûÆø)
|
[ÇóÖú]
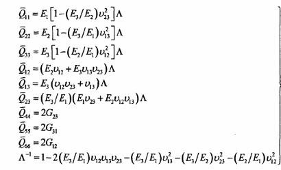
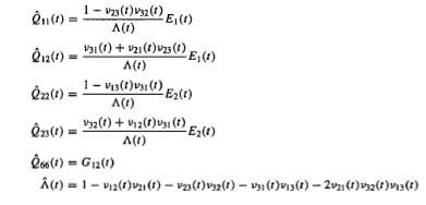
±È½ÏÒ»ÏÂÕâÁ½×é²ÎÊýµÄÒìͬ£¬Õ³µ¯ÐÔ±¾¹¹²ÎÊý
|
|
±È½ÏÒ»ÏÂÕâÁ½×é²ÎÊýµÄÒìͬ£¬Õ³µ¯ÐÔ±¾¹¹²ÎÊý£¬Ð»Ð»£¡ÎªÊ²Ã´ÓеÄÎÄÏ×дµÚÒ»ÖÖ£¬ÓеĵڶþÖÖ£¬¸Ð¾õ»¹ÊÇÓвîµÄ°¡ δÃüÃû1.jpg δÃüÃû2.jpg |
» ²ÂÄãϲ»¶
309Çóµ÷¼Á
ÒѾÓÐ8È˻ظ´
Ò»Ö¾Ô¸ÄϺ½ 335·Ö | 0856 | GPA 4.07 | ÓпÆÑоÀú
ÒѾÓÐ8È˻ظ´
Çóµ÷¼Á
ÒѾÓÐ5È˻ظ´
Çó»¯Ñ§µ÷¼Á
ÒѾÓÐ5È˻ظ´
085600£¬²ÄÁÏÓ뻯¹¤321·ÖÇóµ÷¼Á
ÒѾÓÐ10È˻ظ´
0703 »¯Ñ§ Çóµ÷¼Á£¬Ò»Ö¾Ô¸É½¶«´óѧ 342 ·Ö
ÒѾÓÐ5È˻ظ´
Ò»Ö¾Ô¸ÄÏ¿ª´óѧ0710ÉúÎïѧ359Çóµ÷¼Á
ÒѾÓÐ3È˻ظ´
085600£¬×¨Òµ¿Î»¯¹¤ÔÀí£¬320·ÖÇóµ÷¼Á
ÒѾÓÐ4È˻ظ´
²ÄÁÏÓ뻯¹¤272Çóµ÷¼Á
ÒѾÓÐ16È˻ظ´
290Çóµ÷¼Á
ÒѾÓÐ3È˻ظ´
ÕÒµ½Ò»Ð©Ïà¹ØµÄ¾«»ªÌû×Ó£¬Ï£ÍûÓÐÓÃŶ~
¿ÆÑдÓСľ³æ¿ªÊ¼£¬ÈËÈËΪÎÒ£¬ÎÒΪÈËÈË














»Ø¸´´ËÂ¥
µã»÷ÕâÀïËÑË÷¸ü¶àÏà¹Ø×ÊÔ´
5