| 查看: 313 | 回复: 0 | ||
lixiaoliang金虫 (小有名气)
|
[求助]
求助,最近测量一个晶体的磁性,三个反铁磁二价钴室温XT值为13.2???
|
|
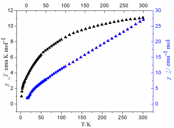
小弟测了一个晶体的磁性,但是数据处理之后,得到的室温XT值为 11.09 emu K mol-1,拟合求得的局里常数为13.2。 是按照三个二价钴离子来计算的,怎么能和理论值差这么多?有什么问题么? 拟合曲线及数据处理见下图! 磁性.png |
» 猜你喜欢
中南大学易小艺课题组诚招2026申请-考核制博士生
已经有0人回复
海南师范大学招收化学博士(光电功能材料课题组招收博士研究生)
已经有11人回复
无机化学论文润色/翻译怎么收费?
已经有187人回复
求助几个团簇的cif
已经有0人回复
急求该反应的详细机理
已经有5人回复
【Ei | Scopus 双检索】2026年智能交通与未来出行国际会议(CSTFM 2026)
已经有0人回复
【EI|Scopus 双检索】2026年第六届机器人与人工智能国际会议(JCRAI 2026)
已经有0人回复
zotero的advanced material模板没有更新,有人有新版的cls文件吗
已经有2人回复
【高校联合举办】2026年第五届服务机器人国际会议(ICoSR 2026)
已经有0人回复













回复此楼