| ²é¿´: 541 | »Ø¸´: 1 | ||
443708933ľ³æ (ÖøÃûдÊÖ)
|
[ÇóÖú]
¹ØÓÚÒ»¸öfourier±ä»»
|
|
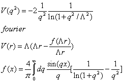
Èçͼ£¬ÈçºÎ°ÑÒ»¸ö¹ØÓÚ¶¯Á¿µÄÊÆÓøµÀïÒ¶±ä»»×ª»»µ½×ø±êµÄÊÆ¡£ÒòΪת»»ºóÊÇÒ»¸ö»ý·Ö±í´ïʽ£¬matlab»òÊÇһЩ³£ÓõÄÈí¼þÎÞ·¨Ëã¡£Ò»°ãÅöµ½ÕâÑùµÄÎÊÌ⣬ҪÈçºÎ×öÄØ£¿ fourier.gif |
» ²ÂÄãϲ»¶
283·Ö²ÄÁÏÓ뻯¹¤Çóµ÷¼Á
ÒѾÓÐ12È˻ظ´
349Çóµ÷¼Á
ÒѾÓÐ7È˻ظ´
296²ÄÁÏר˶Çóµ÷¼Á
ÒѾÓÐ11È˻ظ´
Ò»Ö¾Ô¸ÉϺ£º£Ñó´óѧ083200ʳƷѧ˶£¬Çóµ÷¼Á£¬½ÓÊÜÆäËûרҵ
ÒѾÓÐ7È˻ظ´
²ÄÁÏ340·Öµ÷¼Á
ÒѾÓÐ8È˻ظ´
316Çóµ÷¼Á
ÒѾÓÐ13È˻ظ´
321Çóµ÷¼Á
ÒѾÓÐ11È˻ظ´
315Çóµ÷¼Á
ÒѾÓÐ6È˻ظ´
330·ÖÇóµ÷¼Á
ÒѾÓÐ13È˻ظ´
»¯¹¤µ÷¼Á303·Ö£¬¹ýËļ¶
ÒѾÓÐ9È˻ظ´
» ±¾Ö÷ÌâÏà¹Ø¼ÛÖµÌùÍÆ¼ö£¬¶ÔÄúͬÑùÓаïÖú:
ÈçºÎÀí½âÀÆÕÀ˹±ä»»£¬¸µÁ¢Ò¶±ä»»µÄ
ÒѾÓÐ10È˻ظ´
ÄÄλ´óÉñÀ´Ö¸µ¼ÏÂÊý×ÖÐźŴ¦ÀíÔõôѧ£¬¸Ð¼¤²»¾¡
ÒѾÓÐ30È˻ظ´
ΪʲôÓиµÁ¢Ò¶¼¶Êý»¹ÐèÒª¸µÁ¢Ò¶±ä»»
ÒѾÓÐ13È˻ظ´
[תÌù]µ¹Ò׿ռ䡢²¨Ê¸ÓëÑÜÉäÌõ¼þ
ÒѾÓÐ8È˻ظ´
ÇóÖú¹ØÓÚ¸µÁ¢Ò¶±ä»»µÄÎÊÌâ
ÒѾÓÐ15È˻ظ´
¸µÁ¢Ò¶±ä»»µÄÎïÀíÒâÒå
ÒѾÓÐ9È˻ظ´
443708933
ľ³æ (ÖøÃûдÊÖ)
- Ó¦Öú: 2 (Ó×¶ùÔ°)
- ½ð±Ò: 3332.9
- ºì»¨: 1
- Ìû×Ó: 1047
- ÔÚÏß: 61.6Сʱ
- ³æºÅ: 1446064
- ×¢²á: 2011-10-16
- ÐÔ±ð: GG
- רҵ: Á£×ÓÎïÀíѧºÍ³¡ÂÛ
2Â¥2012-10-11 09:12:58














»Ø¸´´ËÂ¥