| 查看: 2092 | 回复: 16 | ||
jszh87木虫 (正式写手)
|
[求助]
荧光材料 光催化
|
|
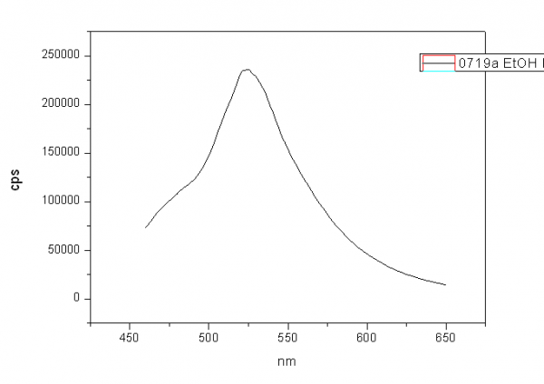
本人做了一种材料,不知道能否用在光催化领域,紫外灯照射下显绿色,太阳光下显红色,这种材料能否用在太阳能电池或者光催化方便,本人初接触光学材料,还望大家多多指教啊! 图片分别为紫外光谱和荧光光谱! 材料荧光光谱 .png 材料紫外光谱.png |
» 猜你喜欢
071000生物学调剂
已经有3人回复
085600材料与化工301分求调剂院校
已经有5人回复
081700,311,求调剂
已经有15人回复
一志愿北京化工085600 310分求调剂
已经有18人回复
材料与化工371求调剂
已经有14人回复
336材料与化工085600求调剂
已经有7人回复
材料334求调剂
已经有18人回复
331求调剂
已经有8人回复
332求调剂
已经有17人回复
一志愿南京航空航天大学 材料与化工329分求调剂
已经有4人回复
» 本主题相关商家推荐: (我也要在这里推广)
» 本主题相关价值贴推荐,对您同样有帮助:
中科院理化所招聘物理、化学、材料类在职博士后
已经有4人回复
纳米材料光催化 如何选刊
已经有12人回复
求解复合材料光催化机理
已经有4人回复
ZnO光催化效果与荧光强度的关系
已经有12人回复
二氧化钛光催化的激发光源
已经有12人回复
请问光催化都用什么仪器测试?怎样测试?
已经有17人回复
【求助】金属离子掺杂TiO2和金属氧化物复合光催化剂的区别
已经有19人回复
【讨论】荧光与光催化 的关系
已经有16人回复

★ ★
感谢参与,应助指数 +1
jszh87: 金币+1, ★★★很有帮助 2012-10-10 19:56:04
蒋青松: 金币+1, 鼓励交流 2012-10-11 07:54:26
感谢参与,应助指数 +1
jszh87: 金币+1, ★★★很有帮助 2012-10-10 19:56:04
蒋青松: 金币+1, 鼓励交流 2012-10-11 07:54:26
2楼2012-10-10 17:55:25
wu1008
金虫 (著名写手)
- 应助: 243 (大学生)
- 金币: 1486.4
- 散金: 176
- 红花: 14
- 帖子: 1788
- 在线: 197.6小时
- 虫号: 1859230
- 注册: 2012-06-14
- 性别: GG
- 专业: 凝聚态物性 II :电子结构
3楼2012-10-10 19:27:58
jszh87
木虫 (正式写手)
- 应助: 2 (幼儿园)
- 金币: 3470.2
- 散金: 4
- 帖子: 557
- 在线: 518小时
- 虫号: 1102623
- 注册: 2010-09-18
- 性别: GG
- 专业: 无机材料化学

4楼2012-10-10 19:55:55
jszh87
木虫 (正式写手)
- 应助: 2 (幼儿园)
- 金币: 3470.2
- 散金: 4
- 帖子: 557
- 在线: 518小时
- 虫号: 1102623
- 注册: 2010-09-18
- 性别: GG
- 专业: 无机材料化学

5楼2012-10-10 19:56:24
wu1008
金虫 (著名写手)
- 应助: 243 (大学生)
- 金币: 1486.4
- 散金: 176
- 红花: 14
- 帖子: 1788
- 在线: 197.6小时
- 虫号: 1859230
- 注册: 2012-06-14
- 性别: GG
- 专业: 凝聚态物性 II :电子结构
6楼2012-10-10 20:58:34
jszh87
木虫 (正式写手)
- 应助: 2 (幼儿园)
- 金币: 3470.2
- 散金: 4
- 帖子: 557
- 在线: 518小时
- 虫号: 1102623
- 注册: 2010-09-18
- 性别: GG
- 专业: 无机材料化学

7楼2012-10-10 21:27:41
★ ★ ★ ★
chemlh: 金币+1, 感谢积极交流 给的提示真的很重要啊 2012-10-12 19:30:14
jszh87: 金币+2, ★★★很有帮助 2012-10-12 20:18:50
jszh87: 金币+1, ★★★很有帮助 2012-10-12 20:37:48
chemlh: 金币+1, 感谢积极交流 给的提示真的很重要啊 2012-10-12 19:30:14
jszh87: 金币+2, ★★★很有帮助 2012-10-12 20:18:50
jszh87: 金币+1, ★★★很有帮助 2012-10-12 20:37:48
8楼2012-10-12 18:19:13
jszh87
木虫 (正式写手)
- 应助: 2 (幼儿园)
- 金币: 3470.2
- 散金: 4
- 帖子: 557
- 在线: 518小时
- 虫号: 1102623
- 注册: 2010-09-18
- 性别: GG
- 专业: 无机材料化学

9楼2012-10-12 20:27:11
jszh87
木虫 (正式写手)
- 应助: 2 (幼儿园)
- 金币: 3470.2
- 散金: 4
- 帖子: 557
- 在线: 518小时
- 虫号: 1102623
- 注册: 2010-09-18
- 性别: GG
- 专业: 无机材料化学

10楼2012-10-12 20:40:31














回复此楼

