| 查看: 2943 | 回复: 1 | |
xiaoxiao77至尊木虫 (著名写手)
|
[求助]
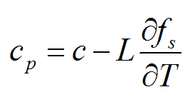
求助comsol如何模拟相变过程中比热的变化
|
|
|
|
sunyu2007新虫 (初入文坛)
|
|
|
2楼2016-11-03 22:18:23
|
|














回复此楼
10