| 查看: 480 | 回复: 3 | ||
[求助]
随机过程
|
|
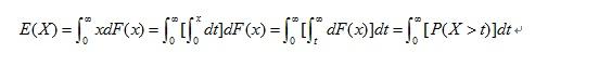
证明:对任意的非负随机变量都有:E[x]等于从0到无穷对P(x>t)积分(dt是积分元)p是概率。 [ Last edited by 旺旺家族 on 2012-10-1 at 21:40 ] |
» 猜你喜欢
投稿Elsevier的Neoplasia杂志,到最后选publishing options时页面空白,不能完成投稿
已经有20人回复
职称评审没过,求安慰
已经有19人回复
垃圾破二本职称评审标准
已经有12人回复
EST投稿状态问题
已经有7人回复
谈谈两天一夜的“延安行”
已经有15人回复
毕业后当辅导员了,天天各种学生超烦
已经有4人回复
聘U V热熔胶研究人员
已经有10人回复
求助文献
已经有3人回复
投稿返修后收到这样的回复,还有希望吗
已经有8人回复
三无产品还有机会吗
已经有6人回复

2楼2012-10-02 08:43:44
33221100
木虫 (正式写手)
- 应助: 29 (小学生)
- 金币: 2674.1
- 红花: 3
- 帖子: 837
- 在线: 357.9小时
- 虫号: 915476
- 注册: 2009-11-28
- 专业: 基础物理学
3楼2012-10-02 19:26:24
math2000
铁杆木虫 (职业作家)
- 数学EPI: 2
- 应助: 239 (大学生)
- 金币: 5846.2
- 红花: 18
- 帖子: 4810
- 在线: 458.7小时
- 虫号: 235375
- 注册: 2006-04-01
- 专业: 概率论与随机分析
4楼2012-10-03 17:50:30













回复此楼