| ²é¿´: 1196 | »Ø¸´: 3 | ||
feynman1965½ð³æ (ÕýʽдÊÖ)
|
[ÇóÖú]
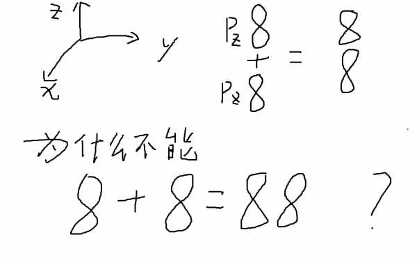
Ô×Ó¹ìµÀºÏ³É·Ö×Ó¹ìµÀµÄÎÊÌâ
|
|
|
|
||
yjcmwgk½û³æ (ÎÄ̳¾«Ó¢)
Ãܶȷºº¯¡¤Ð¡×ä
|
||
|
2Â¥2012-09-16 13:07:50
|
|
|
scottfreedom½ð³æ (ÕýʽдÊÖ)
|
¡¾´ð°¸¡¿Ó¦Öú»ØÌû
¡ï ¡ï ¡ï ¡ï ¡ï ¡ï ¡ï ¡ï
¸Ðл²ÎÓ룬ӦÖúÖ¸Êý +1 gmy1990: ½ð±Ò+3 2012-09-16 15:08:14 feynman1965: ½ð±Ò+5, ¡ï¡ï¡ïºÜÓаïÖú 2012-09-16 21:52:48
|
|
![]() |
||
|
3Â¥2012-09-16 13:22:54
|
|
|
shangxin.linÌú³æ (³õÈëÎÄ̳)
|
¡¾´ð°¸¡¿Ó¦Öú»ØÌû
¡ï ¡ï ¡ï ¡ï ¡ï ¡ï ¡ï ¡ï
cenwanglai: ½ð±Ò+3, лл£¬»¶ÓѧÎïÀíµÄ³£À´Ö¸µ¼~ 2012-11-20 09:42:35 feynman1965: ½ð±Ò+5 2012-11-21 09:16:00
|
|
|
4Â¥2012-11-20 09:39:41
|
|














»Ø¸´´ËÂ¥

10