| 查看: 463 | 回复: 2 | ||
花落流水木虫 (正式写手)
|
[求助]
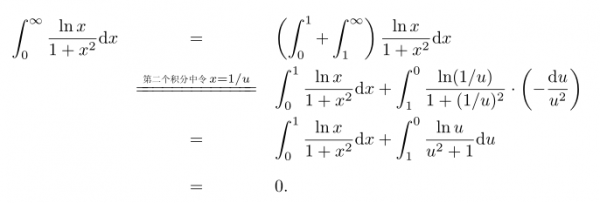
散金币:求解一道广义定积分题
|
|
![]() |
||
|
|
||
Pchief铁杆木虫 (正式写手)
|
||
|
2楼2012-09-15 12:07:25
|
|
|
bnuliuqing禁言 (著名写手) |
|
|
|
3楼2012-10-06 10:04:20
|
|













回复此楼
5