| 查看: 384 | 回复: 2 | |
[求助]
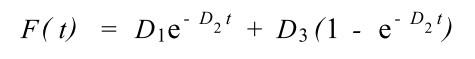
如何利用回归方法来求解公式的参数
|
|
|
|
|
xxz903金虫 (小有名气)
|
|
|
2楼2012-09-12 20:00:16
|
|
|
3楼2012-09-12 22:26:05
|
|












回复此楼
hanmeigong