| ²é¿´: 6940 | »Ø¸´: 3 | ||
ÂþÂþÖÁ×ðľ³æ (ÕýʽдÊÖ)
|
[ÇóÖú]
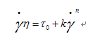
Herschel-BulkleyÄ£ÐÍÔõôÄâºÏ
|
|
´ó¼ÒºÃ£¡Ð¡µÜÒò¿ÎÌâÐèÒª½øÐÐÈéÒºµÄÁ÷±äÐÔÄܲâÊÔ£¬ÓÃʵÑéÊÒµÄÕ³¶È¼Æ²âÊÔÁ˲»Í¬¼ôÇÐËÙÂÊϵÄÕ³¶ÈÖµ£¬Í¨¹ýEXCEL³õ²½´¦ÀíÁËÒ»ÏÂÊý¾Ý£¬·¢ÏÖÓ¦¸ÃÊǼÙËÜÐÔÁ÷Ì壨תËÙÔ½¸ß£¬Õ³¶ÈԽС£©£¬²éÔÄÎÄÏ×˵ÕâÖÖÁ÷Ìå×îºÃ²ÉÓÃHerschel-BulkleyÄ£ÐͽøÐÐÊý¾ÝÄâºÏ£¬µ«Ð¡µÜ´Óδ½Ó´¥¹ýÕâ·½ÃæµÄ֪ʶ£¬¶ÔºóÐøÊý¾Ý´¦ÀíºÜÊÇÍ·ÌÛ£¬²»ÖªÓÃʲôÈí¼þÄܽøÐÐÄâºÏ£¬ÎÒÕâÀïÓÐmatlab¡¢oringin¡¢datafitµÈÈí¼þ£¬µ«²»Öª¸ÃÔõô²Ù×÷¡£ ÁíÍ⣬ÓÃÄÇЩ²ÎÊýÄÜÆÀ¼ÛÈéÒºµÄÎȶ¨ÐÔÄØ£¿ÕâЩ²ÎÊýÈçºÎµÃµ½£¿ Çë¸ßÊÖÖ¸µãÃÔ½ò£¨Ð¡µÜ¸Õ½Ó´¥Á÷±äѧ£¬Òò´Ë»¹Çë˵µÄ¾¡¿ÉÄÜÏêϸЩ£©£¬²»Ê¤¸Ð¼¤£¡ [ Last edited by ÂþÂþ on 2012-9-7 at 10:59 ] |
» ²ÂÄãϲ»¶
²ÄÁÏÇóµ÷¼Á
ÒѾÓÐ11È˻ظ´
µ÷¼Á
ÒѾÓÐ8È˻ظ´
Çóµ÷¼Á
ÒѾÓÐ17È˻ظ´
²ÄÁϵ÷¼Á
ÒѾÓÐ14È˻ظ´
²ÄÁÏ334Çóµ÷¼Á
ÒѾÓÐ17È˻ظ´
332Çóµ÷¼Á
ÒѾÓÐ16È˻ظ´
331Çóµ÷¼Á
ÒѾÓÐ7È˻ظ´
²ÄÁÏר˶322
ÒѾÓÐ4È˻ظ´
308Çóµ÷¼Á
ÒѾÓÐ11È˻ظ´
»úеר˶274Çóµ÷¼Á£¬²»ÌôרҵѧУ
ÒѾÓÐ7È˻ظ´
» ±¾Ö÷ÌâÏà¹Ø¼ÛÖµÌùÍÆ¼ö£¬¶ÔÄúͬÑùÓаïÖú:
¹ØÓÚÓà origin 8.0 ²ÉÓÃLangmuirºÍ Freundlich Ä£ÐͶÔʵÑéÊý¾Ý½øÐÐÄâºÏ
ÒѾÓÐ12È˻ظ´
ÓйØNICA-Donnan Ä£ÐÍÄâºÏ ½ðÊôCuÀë×ÓÓ븯ֳÖÊ×÷ÓõÄÎü¸½ÇúÏß¼°ÆäÏà¹Ø²ÎÊýµÄ·½·¨
ÒѾÓÐ7È˻ظ´
ÄâºÏÄ£Ð͵ĺûµ
ÒѾÓÐ4È˻ظ´
originÖÐÄâºÏÄ£Ð͵ÄRƽ·½Òª´ïµ½¶àÉÙ²Å˵Ã÷Ä£ÐÍÕýÈ·£¿
ÒѾÓÐ10È˻ظ´
ʵÑéÊý¾ÝµÄÊýѧģÐ͹¹½¨¡¢ÇúÏßÄâºÏ·½ÃæÎÊÌâÇóÖú
ÒѾÓÐ6È˻ظ´
ÏìÓ¦ÇúÃæ·¨ºÍ¶àÔª»Ø¹é·¨ÄâºÏµÄÄ£ÐͱȽÏ
ÒѾÓÐ3È˻ظ´
ÔõôÓÃoriginÄâºÏlogisticÄ£ÐÍ
ÒѾÓÐ5È˻ظ´
¡¾ÇóÖú¡¿ÄÉÃ×Á£ÌåÍ⻺ÊÍÄ£Ð͵ÄÇúÏßÄâºÏ
ÒѾÓÐ3È˻ظ´
¡¾ÇóÖú¡¿Matlab·ÇÏßÐÔ×îС¶þ³ËÄâºÏ»î¶ÈϵÊýÄ£ÐÍ£¨Willson¡¢NRTL¡¢UNIQUAC£©
ÒѾÓÐ17È˻ظ´
¡¾ÇóÖú¡¿ArcgisµØÍ³¼ÆÑ§°ë±äÒ캯ÊýÄ£ÐÍÄâºÏ
ÒѾÓÐ7È˻ظ´
¡¾ÇóÖú¡¿×ÏÍⲨ¶Î400nmÒÔϵĽðÊô²ÄÁϵĽéµç³£ÊýÓÃʲôģÐÍÄâºÏ£¿
ÒѾÓÐ6È˻ظ´
originÖзÇÏßÐÔÄâºÏÖÐlogisticÄ£Ð͵ÄÒÉÎÊ£¿
ÒѾÓÐ6È˻ظ´
óÆÑ§Ã÷Ö¾
ÖÁ×ðľ³æ (ÖªÃû×÷¼Ò)
- Ó¦Öú: 176 (¸ßÖÐÉú)
- ¹ó±ö: 0.001
- ½ð±Ò: 39877.9
- É¢½ð: 1460
- ºì»¨: 92
- Ìû×Ó: 5336
- ÔÚÏß: 1096.5Сʱ
- ³æºÅ: 1390211
- ×¢²á: 2011-09-04
- ÐÔ±ð: GG
- רҵ: °ëµ¼Ìå²ÄÁÏ
¡¾´ð°¸¡¿Ó¦Öú»ØÌû
¸Ðл²ÎÓ룬ӦÖúÖ¸Êý +1

2Â¥2012-09-07 18:56:27
ÂþÂþ
ÖÁ×ðľ³æ (ÕýʽдÊÖ)
- Ó¦Öú: 3 (Ó×¶ùÔ°)
- ½ð±Ò: 12932.6
- É¢½ð: 10
- Ìû×Ó: 856
- ÔÚÏß: 206.1Сʱ
- ³æºÅ: 254026
- ×¢²á: 2006-05-21
- ÐÔ±ð: GG
- רҵ: ÓлúºÏ³É
3Â¥2012-09-08 20:56:11
óÆÑ§Ã÷Ö¾
ÖÁ×ðľ³æ (ÖªÃû×÷¼Ò)
- Ó¦Öú: 176 (¸ßÖÐÉú)
- ¹ó±ö: 0.001
- ½ð±Ò: 39877.9
- É¢½ð: 1460
- ºì»¨: 92
- Ìû×Ó: 5336
- ÔÚÏß: 1096.5Сʱ
- ³æºÅ: 1390211
- ×¢²á: 2011-09-04
- ÐÔ±ð: GG
- רҵ: °ëµ¼Ìå²ÄÁÏ

4Â¥2012-09-08 21:01:26














»Ø¸´´ËÂ¥