| 查看: 3028 | 回复: 15 | |||
[求助]
怎么利用介电损耗谱图拟合出弛豫时间
|
|||
|
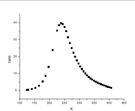
本人在看文献上看到,如果弛豫时间符合Arrhenius方程,那么就可以用Arrhenius方程对介电损耗峰进行了拟合,可以求出弛豫时间,请问哪位大侠可以教教小弟怎么对介电损耗峰进行拟合,求出弛豫时间t,本人万分感谢! 附介电损耗与温度关系图 介电损耗与温度关系图.jpg |
» 收录本帖的淘帖专辑推荐
分子动力学 |
» 猜你喜欢
071000生物学调剂
已经有3人回复
085600材料与化工301分求调剂院校
已经有5人回复
081700,311,求调剂
已经有15人回复
一志愿北京化工085600 310分求调剂
已经有18人回复
材料与化工371求调剂
已经有14人回复
336材料与化工085600求调剂
已经有7人回复
材料334求调剂
已经有18人回复
331求调剂
已经有8人回复
332求调剂
已经有17人回复
一志愿南京航空航天大学 材料与化工329分求调剂
已经有4人回复
» 本主题相关价值贴推荐,对您同样有帮助:
Forcite 弛豫
已经有6人回复
介电损耗与激活能有关系吗?
已经有5人回复
什么是多弛豫时间呀?介电方面的
已经有6人回复
费费n苏朗
木虫 (小有名气)
- 应助: 1 (幼儿园)
- 金币: 2915.1
- 红花: 1
- 帖子: 84
- 在线: 137.7小时
- 虫号: 1434964
- 注册: 2011-10-10
- 性别: MM
- 专业: 无机非金属类光电信息与功

10楼2013-07-17 11:26:07
| 顶 |
2楼2012-09-02 18:53:41
loveSeeker
铜虫 (初入文坛)
- 应助: 1 (幼儿园)
- 金币: 63.2
- 帖子: 20
- 在线: 5.9小时
- 虫号: 1953719
- 注册: 2012-08-24
- 性别: GG
- 专业: 无机非金属类电介质与电解

3楼2012-09-06 16:53:26
loveSeeker
铜虫 (初入文坛)
- 应助: 1 (幼儿园)
- 金币: 63.2
- 帖子: 20
- 在线: 5.9小时
- 虫号: 1953719
- 注册: 2012-08-24
- 性别: GG
- 专业: 无机非金属类电介质与电解

4楼2012-09-06 17:17:13
loveSeeker
铜虫 (初入文坛)
- 应助: 1 (幼儿园)
- 金币: 63.2
- 帖子: 20
- 在线: 5.9小时
- 虫号: 1953719
- 注册: 2012-08-24
- 性别: GG
- 专业: 无机非金属类电介质与电解

5楼2012-09-06 17:21:18
|
6楼2012-09-06 17:29:32
幻灭牙
捐助贵宾 (职业作家)
- 应助: 62 (初中生)
- 金币: 7547.3
- 散金: 60
- 红花: 26
- 帖子: 3561
- 在线: 1391小时
- 虫号: 1349088
- 注册: 2011-07-18
- 性别: GG
- 专业: 功能陶瓷
7楼2012-09-25 18:10:52
8楼2013-03-13 15:28:03
9楼2013-03-14 08:41:02














回复此楼