版块导航
正在加载中...
客户端APP下载
论文辅导
申博辅导
登录
注册
帖子
帖子
用户
本版
应《网络安全法》要求,自2017年10月1日起,未进行实名认证将不得使用互联网跟帖服务。为保障您的帐号能够正常使用,请尽快对帐号进行手机号验证,感谢您的理解与支持!
24小时热门版块排行榜
>
论坛更新日志
(2874)
>
虫友互识
(285)
>
导师招生
(189)
>
文献求助
(168)
>
休闲灌水
(58)
>
论文投稿
(57)
>
博后之家
(52)
>
招聘信息布告栏
(43)
>
考研
(35)
>
硕博家园
(34)
>
考博
(33)
>
基金申请
(22)
>
SciFinder/Reaxys
(19)
>
留学DIY
(16)
>
绿色求助(高悬赏)
(16)
>
公派出国
(16)
小木虫论坛-学术科研互动平台
»
生物医药区
»
生物科学
»
生物细胞膜对水和渗透性溶质的渗透过程的数学模型 相关参数的解释
2
1/1
返回列表
查看: 401 | 回复: 1
只看楼主
@他人
存档
新回复提醒
(忽略)
收藏
在APP中查看
188-3574
新虫
(小有名气)
应助: 0
(幼儿园)
金币: 463
帖子: 57
在线: 24.3小时
虫号: 1816401
[交流]
生物细胞膜对水和渗透性溶质的渗透过程的数学模型 相关参数的解释
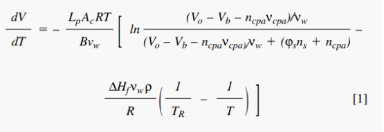
细胞冷冻过程中,会脱水收缩,Mazur提出了一个模拟此传输过程的数学模型,只涉及水的传输过程,而在冷冻过程中通常会加入冷冻保护剂cpa,后来的学者对Mazur的模型进行了修正,将cpa包含了进去,如图片中公式所示。
其中有n(cpa),解释是cpa的摩尔数,个人理解的为渗透进细胞内的cpa的摩尔量。但是如何获得这个值,无法得到,
在此,恳请做过相关方向的高手们对此予以指点,急求,不胜感激~~
PS:本人要做的是,利用matlab ,通过此公式,对细胞冷冻实验过程中的细胞体积的变化进行模拟,就是需要知道公式中各个参数的值,或者是表达方式,然后解这个微分方程,现在的问题是,n(cpa)的值不知道如何表示。谢谢
图片1.png
回复此楼
» 猜你喜欢
国自然申请面上模板最新2026版出了吗?
已经有19人回复
拟解决的关键科学问题还要不要写
已经有7人回复
存款400万可以在学校里躺平吗
已经有17人回复
请教限项目规定
已经有3人回复
基金委咋了?2026年的指南还没有出来?
已经有10人回复
基金申报
已经有6人回复
推荐一本书
已经有13人回复
纳米粒子粒径的测量
已经有8人回复
疑惑?
已经有5人回复
计算机、0854电子信息(085401-058412)调剂
已经有5人回复
高级回复
» 本主题相关价值贴推荐,对您同样有帮助:
NCBI上你们见过这样的提示没有?
已经有11人回复
求助国内博士后申请的具体过程
已经有59人回复
亲和填料使用寿命研究 (from journal of Chromatography A)
已经有20人回复
基因组提取过程中加入溶菌酶有白色沉淀
已经有13人回复
【求助】请教定子、转子模型的边界条件和物理模型选择!
已经有4人回复
【求助】aspen one 7.1安装过程问题
已经有4人回复
【求助】有没有用DS软件做细胞膜的模拟的?
已经有7人回复
» 抢金币啦!回帖就可以得到:
查看全部散金贴
南京大学能源与资源学院-景旭东教授 (英国皇家工程院院士) 团队博士后招聘
+
1
/473
保障电池制造超纯环境:威格科技电池生产全线解决方案
+
1
/100
供应EXAKT德国艾卡特3D打印材料分散用三辊研磨机80E PLUS
+
1
/80
哈尔滨工业大学王东博课题组/中科院上海微系统所梁丽娟课题组招收2026年博士生1名
+
1
/80
信息工程大学教授团队网络空间安全专业博士招生【2026年1月31日报名截止】
+
1
/77
北京航空航天大学教授课题组招生启事
+
1
/76
上海交通大学任垭萌课题组招聘申请-考核博士
+
1
/75
成会明院士团队|钱希堂(国家青年人才)招博后啦!二维材料和固态电池
+
1
/73
哈尔滨工业大学王东博课题组/中科院上海微系统所梁丽娟课题组招收2026年博士生1名
+
1
/72
国重点实验室双一流A类长江学者团队招2026年全日制博士1-2名
+
2
/64
南通大学国家级人才团队招收“申请-考核”制博士研究生20260119
+
2
/34
悉尼大学 AMME 机械工程 双ARC Future Fellows团队招收CSC博士生
+
1
/31
学生申博
+
1
/28
沈阳征女友
+
1
/25
香港浸会大学化学系质谱分析测试中心招聘研究助理
+
1
/11
武汉双一流高校干细胞与肿瘤生物学团队招聘2026级申请考核制博士生
+
1
/8
深圳市中西医结合医院博士后招聘【药理学/中药学/天然药物/生物技术】
+
1
/8
西交利物浦大学/GaN电力电子器件方向/招博士研究生
+
1
/5
山东大学(青岛校区)招博士后(COF\MOF\催化\电池)
+
1
/4
深圳大学化学与环境工程学院谢杨苏课题组招聘博士后
+
1
/3
1楼
2012-08-31 16:25:35
已阅
回复此楼
关注TA
给TA发消息
送TA红花
TA的回帖
188-3574
新虫
(小有名气)
应助: 0
(幼儿园)
金币: 463
帖子: 57
在线: 24.3小时
虫号: 1816401
谢谢
,继续等待好心人
赞
一下
回复此楼
2楼
2012-09-01 10:56:46
已阅
回复此楼
关注TA
给TA发消息
送TA红花
TA的回帖
相关版块跳转
新药研发
药学
药品生产
分子生物
微生物
动植物
生物科学
医学
我要订阅楼主
188-3574
的主题更新
2
1/1
返回列表
如果回帖内容含有宣传信息,请如实选中。否则帐号将被全论坛禁言
普通表情
龙
兔
虎
猫
高级回复
(可上传附件)
百度网盘
|
360云盘
|
千易网盘
|
华为网盘
在新窗口页面中打开自己喜欢的网盘网站,将文件上传后,然后将下载链接复制到帖子内容中就可以了。
信息提示
关闭
请填处理意见
关闭
确定