| ²é¿´: 718 | »Ø¸´: 4 | ||
oldelfÌú³æ (ÕýʽдÊÖ)
|
[ÇóÖú]
ÇóÖú·ÖÎöÒ»¸ö´ÅÐÔÎÊÌâ
|
|
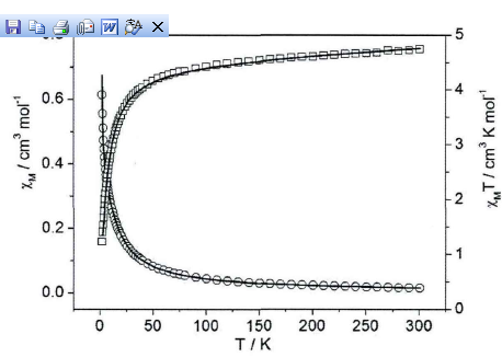
ÒÔ²âÊԵõ½µÄlong moment £¨emu£©¶ÔζÈT×÷ͼ£¬µÃµ½Ò»¸ùÖ±Ïߣ¬Õâ˵Ã÷ÁËÊ²Ã´ÄØ£¿ ÎÒµÄÊǸöµ¥ºËCu¡£ ÎÒ¿´µ½±ðÈ˵Äͼ¶¼±È½ÏºÃ¿´¡£ |
» ²ÂÄãϲ»¶
Ò»Ö¾Ô¸±±½»´ó²ÄÁϹ¤³Ì×Ü·Ö358Çóµ÷¼Á
ÒѾÓÐ9È˻ظ´
286Çóµ÷¼Á
ÒѾÓÐ11È˻ظ´
Çóµ÷¼Á£¡ÉúÎïÓëҽҩר˶
ÒѾÓÐ6È˻ظ´
362Çóµ÷¼ÁÒ»Ö¾Ô¸ÖйúʯÓÍ´óѧ
ÒѾÓÐ4È˻ظ´
085600£¬321·ÖÇóµ÷¼Á
ÒѾÓÐ14È˻ظ´
²ÄÁϵ÷¼Á
ÒѾÓÐ4È˻ظ´
Ò»Ö¾Ô¸ÉúÎïÓëÒ½Ò©£¬296·Ö£¬Çóµ÷¼Á
ÒѾÓÐ11È˻ظ´
346·ÖµÄÉúÎïÓëÒ½Ò©08600Çóµ÷¼Á
ÒѾÓÐ7È˻ظ´
071000ÉúÎïѧµ÷¼Á
ÒѾÓÐ6È˻ظ´
Ò»Ö¾Ô¸Ö£ÖÝ´óѧ²ÄÁÏÓ뻯¹¤085600£¬Çóµ÷¼Á
ÒѾÓÐ25È˻ظ´
» ±¾Ö÷ÌâÏà¹Ø¼ÛÖµÌùÍÆ¼ö£¬¶ÔÄúͬÑùÓаïÖú:
´ÅÐÔ·ÖÎöµÃµ½µÄ³£Î´ÅÖÍ»ØÏߣ¬ÓÐЩ·´³££¬ÇóÅ£ÈË°ï¸ø·ÖÎöÏÂ
ÒѾÓÐ17È˻ظ´
¡¾ÇóÖú¡¿Çë½ÌÒ»¸ö¹ÌÌåÎïÀíµÄÎÊÌâ
ÒѾÓÐ15È˻ظ´
¡¾ÇóÖú¡¿²ÄÁÏ´ÅÐÔ·ÖÎö
ÒѾÓÐ4È˻ظ´
¡¾ÇóÖú¡¿µç×ÓÌìÆ½³ÆÁ¿Ïà¹ØÎÊÌ⣿
ÒѾÓÐ8È˻ظ´
¡¾ÇóÖú¡¿¹ØÓں˴ʲÕñÇâÆ×ñîºÏµÄÎÊÌâ
ÒѾÓÐ8È˻ظ´
¡¾ÇóÖú¡¿´ÅÐÔ²ÄÁϱíÕ÷
ÒѾÓÐ12È˻ظ´
¡¾ÇóÖú¡¿Çë¸÷λ°ïæ·ÖÎöÏ´ÅÐÔ·ÖÎö
ÒѾÓÐ10È˻ظ´
¡¾ÇóÖú¡¿ÇóÖú´ÅÐÔ·ÖÎöµÄÎÊÌâ
ÒѾÓÐ7È˻ظ´
yaozi358
½ð³æ (ÕýʽдÊÖ)
- Ó¦Öú: 62 (³õÖÐÉú)
- ½ð±Ò: 409.1
- É¢½ð: 289
- Ìû×Ó: 749
- ÔÚÏß: 97.5Сʱ
- ³æºÅ: 1165225
- ×¢²á: 2010-12-08
- ÐÔ±ð: GG
- רҵ: Äý¾Û̬ÎïÐÔ II £ºµç×ӽṹ

2Â¥2012-08-10 07:14:54
oldelf
Ìú³æ (ÕýʽдÊÖ)
- Ó¦Öú: 0 (Ó×¶ùÔ°)
- ½ð±Ò: 21.3
- É¢½ð: 265
- ºì»¨: 3
- Ìû×Ó: 678
- ÔÚÏß: 258.9Сʱ
- ³æºÅ: 168433
- ×¢²á: 2006-01-16
- רҵ: ÓлúºÏ³É
3Â¥2012-08-10 09:58:01
yaozi358
½ð³æ (ÕýʽдÊÖ)
- Ó¦Öú: 62 (³õÖÐÉú)
- ½ð±Ò: 409.1
- É¢½ð: 289
- Ìû×Ó: 749
- ÔÚÏß: 97.5Сʱ
- ³æºÅ: 1165225
- ×¢²á: 2010-12-08
- ÐÔ±ð: GG
- רҵ: Äý¾Û̬ÎïÐÔ II £ºµç×ӽṹ

4Â¥2012-08-10 13:16:47
oldelf
Ìú³æ (ÕýʽдÊÖ)
- Ó¦Öú: 0 (Ó×¶ùÔ°)
- ½ð±Ò: 21.3
- É¢½ð: 265
- ºì»¨: 3
- Ìû×Ó: 678
- ÔÚÏß: 258.9Сʱ
- ³æºÅ: 168433
- ×¢²á: 2006-01-16
- רҵ: ÓлúºÏ³É
5Â¥2012-08-10 20:46:28














»Ø¸´´ËÂ¥