| ²é¿´: 7356 | »Ø¸´: 4 | |||
husthuangbin½ð³æ (СÓÐÃûÆø)
|
[½»Á÷]
COMSOL µç³¡·Ö²¼Ä£Äâ ÒÑÓÐ3È˲ÎÓë
|
|
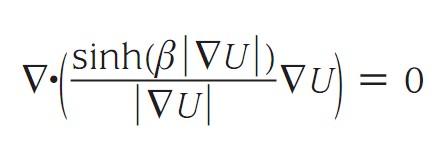
±¾ÈËcomsol¸ÕÈëÃÅ£¬Çë½Ì¸÷λ£ºcomsolÀïÏëÒª×Ô¶¨Òåµç³¡£¬¹«Ê½ÈçÏ£º ÇëÎʸÃÈçºÎʵÏÖ£¡£¡£¡ÏÈл¹ý¸÷λÁË£¡£¡£¡ |
» ²ÂÄãϲ»¶
Ò»Ö¾Ô¸±±½»´ó²ÄÁϹ¤³Ì×Ü·Ö358Çóµ÷¼Á
ÒѾÓÐ4È˻ظ´
²ÄÁÏר˶322
ÒѾÓÐ3È˻ظ´
336²ÄÁÏÓ뻯¹¤085600Çóµ÷¼Á
ÒѾÓÐ5È˻ظ´
»¯Ñ§µ÷¼Á
ÒѾÓÐ16È˻ظ´
320·ÖÈ˹¤ÖÇÄܵ÷¼Á
ÒѾÓÐ8È˻ظ´
£¨µ÷¼Á£©Ò»Ö¾Ô¸±¨¿¼¹þ¶û±õ¹¤Òµ´óѧ0857×ÊÔ´Óë»·¾³×¨Òµ378·Ö¿¼Éú
ÒѾÓÐ7È˻ظ´
331Çóµ÷¼Á
ÒѾÓÐ6È˻ظ´
²ÄÁÏ334Çóµ÷¼Á
ÒѾÓÐ16È˻ظ´
308Çóµ÷¼Á
ÒѾÓÐ9È˻ظ´
332Çóµ÷¼Á
ÒѾÓÐ15È˻ظ´
» ±¾Ö÷ÌâÏà¹Ø¼ÛÖµÌùÍÆ¼ö£¬¶ÔÄúͬÑùÓаïÖú:
Ö±µ¼Ïߵĵç´Å³¡Ä£Äâ
ÒѾÓÐ10È˻ظ´
Çë½Ì£ºCOMSOLÔõôģÄâSOI¹â²¨µ¼ÖÐÔÊÐíµÄģʽ?
ÒѾÓÐ12È˻ظ´
COMSOL Multiphysics ģʽ·ÖÎöÔÀíÇóÖú
ÒѾÓÐ6È˻ظ´
ÇëÎʵãµçºÉµÄµçÊÆ±í´ïʽÊÇʲô
ÒѾÓÐ4È˻ظ´
ÏëÓÃcomsol½â²´ËÉ·½³Ì£¬È´²»ÖªµÀÔõôÉè±ß½çÌõ¼þ
ÒѾÓÐ7È˻ظ´
¡¾ÌÖÂÛ¡¿comsolÖе糡ÄÜÁ¿ÃܶȺʹų¡ÄÜÁ¿ÃܶÈ
ÒѾÓÐ12È˻ظ´
¡¾ÇóÖú¡¿ÀûÓÃComsol½øÐбíÃæµÈÀë×ÓÌåÄ£Äâ
ÒѾÓÐ15È˻ظ´
¡¾ÌÖÂÛ¡¿ÀûÓÃcomsolÑо¿¹â×Ó¾§Ìå¹âÏË
ÒѾÓÐ47È˻ظ´
¡¾ÇóÖú¡¿ÇëÎÊComsolÄÜÄ£Äâ±íÃæµÈÀë×ÓÌ弤ԪÂð
ÒѾÓÐ41È˻ظ´
¡¾ÌÖÂÛ¡¿Îå´óÓÐÏÞÔªÈí¼þµÄÓû§±È£¨³õѧÕ߿ɿ´Ò»Ï£¬ÉÙ×ßÍä·£©
ÒѾÓÐ283È˻ظ´
dk1013
ľ³æ (ÕýʽдÊÖ)
- Ó¦Öú: 61 (³õÖÐÉú)
- ½ð±Ò: 4285.5
- É¢½ð: 246
- ºì»¨: 13
- Ìû×Ó: 988
- ÔÚÏß: 3204.6Сʱ
- ³æºÅ: 980198
- ×¢²á: 2010-03-23
- ÐÔ±ð: GG
- רҵ: Äý¾Û̬ÎïÐÔ II £ºµç×ӽṹ

2Â¥2012-08-21 18:49:25
|
±¾ÌûÄÚÈݱ»ÆÁ±Î |
3Â¥2012-08-22 07:59:01
husthuangbin
½ð³æ (СÓÐÃûÆø)
- Ó¦Öú: 0 (Ó×¶ùÔ°)
- ½ð±Ò: 1009.3
- É¢½ð: 800
- ºì»¨: 10
- Ìû×Ó: 109
- ÔÚÏß: 331.1Сʱ
- ³æºÅ: 1505826
- ×¢²á: 2011-11-23
- רҵ: ÎÞ»ú·Ç½ðÊôÀà¹âµçÐÅÏ¢Ó빦
4Â¥2012-08-27 16:06:28
À¬»øÍ¨¹ý00
Òø³æ (СÓÐÃûÆø)
- Ó¦Öú: 0 (Ó×¶ùÔ°)
- ½ð±Ò: 2.5
- É¢½ð: 615
- ºì»¨: 1
- Ìû×Ó: 263
- ÔÚÏß: 107.1Сʱ
- ³æºÅ: 2089823
- ×¢²á: 2012-10-27
- ÐÔ±ð: GG
- רҵ: ¹ÌÌåÁ¦Ñ§
5Â¥2012-10-27 17:05:49














»Ø¸´´ËÂ¥