| 查看: 1080 | 回复: 0 | ||
cherishqian新虫 (小有名气)
|
[求助]
硅谱核磁共振测试的原始数据打开后不一样
|
|
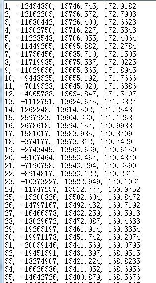
我做了几个样品的29Si NMR测试,可是用peakfit打开时,有几个曲线非常平滑,其他的就很陡,有很多小突起,这样我就不好分峰拟合啊。我就打开了这几个样品的原始数据,是txt格式的,发现格式不一样,有的只有两排,有的有四排,我都不清楚是怎么回事了,拜托哪位大侠帮帮忙。 A样品的原始数据 B样品的原始数据 |
» 猜你喜欢
274求调剂
已经有7人回复
北科281学硕材料求调剂
已经有11人回复
085600 材料与化工 329分求调剂
已经有3人回复
302求调剂
已经有3人回复
312求调剂
已经有5人回复
网络空间安全0839招调剂
已经有4人回复
329求调剂
已经有3人回复
【2026考研调剂】制药工程 284分 求相关专业调剂名额
已经有8人回复
085602 289分求调剂
已经有7人回复
材料学硕333求调剂
已经有4人回复
找到一些相关的精华帖子,希望有用哦~
【课件】核磁共振谱原理及解析(复旦大学)
已经有529人回复
核磁共振的测试须知和图谱解析【原创】
已经有295人回复
核磁共振定量测试 知识 文献 书籍
已经有45人回复
关于核磁共振波谱的问题
已经有6人回复
【求助】质子核磁共振谱
已经有9人回复
核磁共振——硅谱应该怎么做?
已经有4人回复
500 MHz固体核磁共振谱仪合作、互助与测试
已经有4人回复
【求助】核磁共振氢谱的谱图如何解
已经有18人回复
【求助】求助:核磁共振,500MHz是氢谱范围吗?
已经有9人回复
【求助】请问去打核磁共振谱图前,我需要准备些什么?
已经有11人回复
求助一个谱图软件 能打开核磁共振谱图的
已经有5人回复
科研从小木虫开始,人人为我,我为人人













回复此楼
点击这里搜索更多相关资源