| 查看: 416 | 回复: 1 | |||
[交流]
统计热力学一个问题求解 已有1人参与
|
|
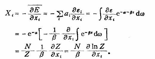
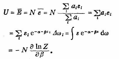
内能的计算式是: 热统计算广义力的时候用的是下面的方法: 我想为什么不能用这个方法呢? 这两个方法的结果一样么?如果一样怎么化成一样的?如果不一样附件3的方法哪里出错了呢? 求解~ [ Last edited by Ser_Charles on 2012-8-2 at 16:35 ] |
» 猜你喜欢
哈尔滨理工大学2026年研究生调剂,材料科学与化学工程学院研究生调剂
已经有4人回复
武汉一本高校招收材料、化学、高分子、纺织、生物相关专业硕士生
已经有0人回复
有机高分子材料论文润色/翻译怎么收费?
已经有281人回复
西南交通大学医学院招收生物医学工程和材料与化工专业硕士研究生
已经有15人回复
研究生招生
已经有0人回复
武汉纺织大学-材料学院-高分子结构与性能团队-招调剂-生物方向
已经有5人回复
接受考研调剂~武汉纺织大学招材料、化学、高分子、纺织、生物相关专业硕士生
已经有0人回复
聚左旋乳酸和聚双旋乳酸的区别
已经有0人回复
武汉纺织大学纺织学院接收调剂
已经有0人回复
武汉纺织大学-材料科学与工程学院-招 生物方向 硕士!
已经有0人回复
» 本主题相关价值贴推荐,对您同样有帮助:
统计热力学以及计算机蒙特卡洛模拟教程
已经有441人回复
请教分子力学与分子动力学的区别
已经有14人回复
大家觉得数理知识对做高分子的科研用处大不大?
已经有19人回复
sddtc888
至尊木虫 (著名写手)
Hψ=Eψ S=klnΩ dS≥δQ/T
- ICEPI: 4
- 应助: 181 (高中生)
- 贵宾: 2.508
- 金币: 10753.4
- 散金: 1948
- 红花: 29
- 沙发: 1
- 帖子: 1609
- 在线: 1165.1小时
- 虫号: 1410152
- 注册: 2011-09-20
- 性别: GG
- 专业: 凝聚态物性 II :电子结构
★ ★ ★ ★
小木虫: 金币+0.5, 给个红包,谢谢回帖
fds329: 金币+3, 感谢应助。辛苦了O(∩_∩)O 2012-08-08 21:53:36
小木虫: 金币+0.5, 给个红包,谢谢回帖
fds329: 金币+3, 感谢应助。辛苦了O(∩_∩)O 2012-08-08 21:53:36
|
你基本概念不对,外参量xi的改变分两个部分:(1)引起能级改变,这个是功,(2)外参量改变还会改变能级上的粒子数,这个是热!所以a和ε都是xi的函数,按你的方法,U对xi偏导,应该分别对a和ε求偏导(a和ε都是xi的函数),所以U对xi偏导应该等于a乘以(ε对xi求偏导)加上ε乘以(a对xi求偏导),而功只是a乘以(ε对xi求偏导),所以你的结果不对,你的结果相当于把“热”这部分能量也看成了功,是功和热的“整体”(或者说功和热相加的总和)所对应的“广义力” [ Last edited by sddtc888 on 2012-8-4 at 20:40 ] |

2楼2012-08-04 20:30:47














回复此楼