版块导航
正在加载中...
客户端APP下载
论文辅导
调剂小程序
登录
注册
帖子
帖子
用户
本版
应《网络安全法》要求,自2017年10月1日起,未进行实名认证将不得使用互联网跟帖服务。为保障您的帐号能够正常使用,请尽快对帐号进行手机号验证,感谢您的理解与支持!
24小时热门版块排行榜
>
论坛更新日志
(466)
>
虫友互识
(35)
>
导师招生
(12)
>
教师之家
(6)
>
博后之家
(5)
>
基金申请
(5)
>
考研
(5)
>
考博
(4)
>
论文投稿
(3)
>
论文道贺祈福
(2)
>
找工作
(2)
>
文献求助
(2)
>
公派出国
(2)
>
休闲灌水
(2)
>
访问学者
(1)
>
育儿交流
(1)
小木虫论坛-学术科研互动平台
»
计算模拟区
»
程序语言
»
MATLAB函数转化问题。请教
16
1/2
返回列表
1
2
下一页
查看: 1354 | 回复: 15
只看楼主
@他人
存档
新回复提醒
(忽略)
收藏
在APP中查看
hqulhh
新虫
(初入文坛)
应助: 0
(幼儿园)
金币: 220.3
红花: 1
帖子: 26
在线: 40.9小时
虫号: 1263377
注册: 2011-04-12
专业: 零件成形制造
[
求助
]
MATLAB函数转化问题。请教
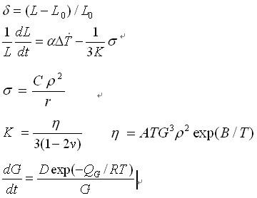
请教下面公式如何在MATLAB实现的程序
回复此楼
» 猜你喜欢
售SCI一区文章,我:8 O5 51O 54,科目齐全,可+急
已经有5人回复
售SCI一区文章,我:8 O5 51O 54,科目齐全,可+急
已经有6人回复
售SCI一区文章,我:8 O5 51O 54,科目齐全,可+急
已经有8人回复
售SCI一区文章,我:8 O5 51O 54,科目齐全,可+急
已经有3人回复
售SCI一区文章,我:8 O5 51O 54,科目齐全,可+急
已经有4人回复
版面费该交吗
已经有8人回复
售SCI一区文章,我:8 O5 51O 54,科目齐全,可+急
已经有5人回复
售SCI一区文章,我:8 O5 51O 54,科目齐全,可+急
已经有3人回复
基金正文30页指的是报告正文还是整个申请书
已经有6人回复
面上可以超过30页吧?
已经有4人回复
» 本主题相关价值贴推荐,对您同样有帮助:
用matlab画一个函数,能帮我看看程序哪里有问题吗
已经有8人回复
求助正态分布的函数是什么分布
已经有8人回复
matlab求函数积分出错
已经有12人回复
使用lsqnonlin函数优化动力学参数,总是得不到合理的结果
已经有6人回复
请教大家关于matlab初值的问题
已经有4人回复
COMSOL4.2与MATLAB2011b的连接问题?求助
已经有9人回复
请教matlab用数组给参数矩阵赋值的问题
已经有11人回复
请教MATLAB中的LMI求解问题,急!!!
已经有7人回复
Matlab这个函数是什么意思?
已经有8人回复
如何在matlab里写.m函数,老是出错 有谁知道具体格式不
已经有4人回复
matlab快速切换图
已经有6人回复
求助一个matlab关于分类讨论的问题
已经有9人回复
matlab 数组求导
已经有3人回复
scanf()函数中读入字符串问题
已经有4人回复
matlab里面怎么实现结构体数组的可视化??????
已经有13人回复
matlab的函数调用问题
已经有3人回复
问个关于matlab里find函数的问题!
已经有4人回复
matlab生成随机行走网格 模拟材料生长
已经有26人回复
【求助】matlab生成旋转体?
已经有9人回复
MATLAB安装后出现一堆java的问题
已经有12人回复
matlab做函数图象的问题
已经有6人回复
【讨论】WMSN能量仿真NS2还是MATLAB
已经有10人回复
1楼
2012-08-02 15:29:04
已阅
回复此楼
关注TA
给TA发消息
送TA红花
TA的回帖
csgt0
荣誉版主
(著名写手)
彩色挂图
专家经验: +2
应助: 367
(硕士)
贵宾: 0.457
金币: 7807
散金: 8897
红花: 20
沙发: 7
帖子: 2809
在线: 515.8小时
虫号: 449046
注册: 2007-11-02
专业: 金属非晶态、准晶和纳米晶
管辖:
计算模拟
【答案】应助回帖
★ ★ ★
感谢参与,应助指数 +1
hqulhh: 金币+2,
★★★
很有帮助
2012-08-02 16:54:13
jjdg: 金币+1, 感谢参与
2012-08-02 18:25:43
看这个方程就差不多,其中y(1)对应你的L,y(2)对应G
CODE:
[t,l]=ode45(@fun,[0 1],ones(2,1))
function dy=fun(t,y)
dy=zeros(2,1);
dy(1)=y(1)*t*y(2)^2;
dy(2)=5/y(2);
end
赞
一下
回复此楼
showmethemoney
2楼
2012-08-02 16:29:29
已阅
回复此楼
关注TA
给TA发消息
送TA红花
TA的回帖
csgt0
荣誉版主
(著名写手)
彩色挂图
专家经验: +2
应助: 367
(硕士)
贵宾: 0.457
金币: 7807
散金: 8897
红花: 20
沙发: 7
帖子: 2809
在线: 515.8小时
虫号: 449046
注册: 2007-11-02
专业: 金属非晶态、准晶和纳米晶
管辖:
计算模拟
★
jjdg: 金币+1, 感谢参与
2012-08-02 18:25:33
其他的参数都有,所以方程中所有L都用y(1), dL/dt用dy(1), G都用y(2),dG/dt用dy(2)代替就可以。
赞
一下
回复此楼
showmethemoney
3楼
2012-08-02 16:32:27
已阅
回复此楼
关注TA
给TA发消息
送TA红花
TA的回帖
hqulhh
新虫
(初入文坛)
应助: 0
(幼儿园)
金币: 220.3
红花: 1
帖子: 26
在线: 40.9小时
虫号: 1263377
注册: 2011-04-12
专业: 零件成形制造
引用回帖:
3楼
:
Originally posted by
csgt0
at 2012-08-02 16:32:27
其他的参数都有,所以方程中所有L都用y(1), dL/dt用dy(1), G都用y(2),dG/dt用dy(2)代替就可以。
还有个Ρ是时间t的函数 Ρ=kt
赞
一下
回复此楼
4楼
2012-08-02 16:53:28
已阅
回复此楼
关注TA
给TA发消息
送TA红花
TA的回帖
csgt0
荣誉版主
(著名写手)
彩色挂图
专家经验: +2
应助: 367
(硕士)
贵宾: 0.457
金币: 7807
散金: 8897
红花: 20
沙发: 7
帖子: 2809
在线: 515.8小时
虫号: 449046
注册: 2007-11-02
专业: 金属非晶态、准晶和纳米晶
管辖:
计算模拟
【答案】应助回帖
★ ★ ★ ★ ★ ★ ★ ★
hqulhh: 金币+5,
★★★
很有帮助
2012-08-02 17:31:08
jjdg: 金币+3, 感谢参与
2012-08-02 18:25:23
你没发现你的式子里没有P么,大概这个情况,你再改改吧。需要注意不能出现让K=0
CODE:
L0=1;
[t,y]=ode45(@fun,0:100,[L0;1]);
L=y(:,1);
G=y(:,2);
delta=(L-L0)/L0
end
function dy=fun(t,y)
L0=1;
alpha=0.01;
deltaT=10;
C=1;
r=1;
A=1;
B=1;
v=1;
D=1;
Q=1;
R=8.314;
rou=0.5+0.005*t;
sigma=C*rou^2/r;
T=273+10*t;
dy=zeros(2,1);
dy(2)=D*exp(-Q/(R*T))/y(2);
yita=A*T*y(2)^3*rou^2*exp(B/T);
K=yita/3/(1-2*v);
dy(1)=y(1)*(alpha*deltaT-sigma/(3*K));
end
赞
一下
回复此楼
showmethemoney
5楼
2012-08-02 17:21:37
已阅
回复此楼
关注TA
给TA发消息
送TA红花
TA的回帖
hqulhh
新虫
(初入文坛)
应助: 0
(幼儿园)
金币: 220.3
红花: 1
帖子: 26
在线: 40.9小时
虫号: 1263377
注册: 2011-04-12
专业: 零件成形制造
引用回帖:
5楼
:
Originally posted by
csgt0
at 2012-08-02 17:21:37
你没发现你的式子里没有P么,大概这个情况,你再改改吧。需要注意不能出现让K=0
L0=1;
=ode45(@fun,0:100,);
L=y(:,1);
G=y(:,2);
delta=(L-L0)/L0
end
function dy=fun(t,y)
L0=1;
alpha=0.01;
delt ...
非常感谢,我讲的那个P就是那个相对密度
赞
一下
回复此楼
6楼
2012-08-02 17:30:35
已阅
回复此楼
关注TA
给TA发消息
送TA红花
TA的回帖
hqulhh
新虫
(初入文坛)
应助: 0
(幼儿园)
金币: 220.3
红花: 1
帖子: 26
在线: 40.9小时
虫号: 1263377
注册: 2011-04-12
专业: 零件成形制造
引用回帖:
5楼
:
Originally posted by
csgt0
at 2012-08-02 17:21:37
你没发现你的式子里没有P么,大概这个情况,你再改改吧。需要注意不能出现让K=0
L0=1;
=ode45(@fun,0:100,);
L=y(:,1);
G=y(:,2);
delta=(L-L0)/L0
end
function dy=fun(t,y)
L0=1;
alpha=0.01;
delt ...
我这个计算过程中,单位要怎么统一,在MATLAB中?谢啦。
赞
一下
回复此楼
7楼
2012-08-03 16:23:55
已阅
回复此楼
关注TA
给TA发消息
送TA红花
TA的回帖
csgt0
荣誉版主
(著名写手)
彩色挂图
专家经验: +2
应助: 367
(硕士)
贵宾: 0.457
金币: 7807
散金: 8897
红花: 20
沙发: 7
帖子: 2809
在线: 515.8小时
虫号: 449046
注册: 2007-11-02
专业: 金属非晶态、准晶和纳米晶
管辖:
计算模拟
引用回帖:
7楼
:
Originally posted by
hqulhh
at 2012-08-03 16:23:55
我这个计算过程中,单位要怎么统一,在MATLAB中?谢啦。...
matlab不管单位,自己先换算好
赞
一下
回复此楼
showmethemoney
8楼
2012-08-03 17:02:49
已阅
回复此楼
关注TA
给TA发消息
送TA红花
TA的回帖
hqulhh
新虫
(初入文坛)
应助: 0
(幼儿园)
金币: 220.3
红花: 1
帖子: 26
在线: 40.9小时
虫号: 1263377
注册: 2011-04-12
专业: 零件成形制造
引用回帖:
8楼
:
Originally posted by
csgt0
at 2012-08-03 17:02:49
matlab不管单位,自己先换算好...
G要不要赋给初值,是不是这个式中[t,y]=ode45(@fun,0:100,[L0;1]); 1代表的那个
赞
一下
回复此楼
9楼
2012-08-03 20:19:05
已阅
回复此楼
关注TA
给TA发消息
送TA红花
TA的回帖
hqulhh
新虫
(初入文坛)
应助: 0
(幼儿园)
金币: 220.3
红花: 1
帖子: 26
在线: 40.9小时
虫号: 1263377
注册: 2011-04-12
专业: 零件成形制造
引用回帖:
5楼
:
Originally posted by
csgt0
at 2012-08-02 17:21:37
你没发现你的式子里没有P么,大概这个情况,你再改改吧。需要注意不能出现让K=0
L0=1;
=ode45(@fun,0:100,);
L=y(:,1);
G=y(:,2);
delta=(L-L0)/L0
end
function dy=fun(t,y)
L0=1;
alpha=0.01;
delt ...
用plot画出G值不变,假设G初值为10,怎么回事?
假设各初值L0=100;alpha=14.6;deltaT=10;C=2;r=16;A=8;B=2;
v=0.28;D=1e-12;Q=315;R=8.31;
帮我看下。谢啦
赞
一下
回复此楼
10楼
2012-08-03 21:12:30
已阅
回复此楼
关注TA
给TA发消息
送TA红花
TA的回帖
相关版块跳转
第一性原理
量子化学
计算模拟
分子模拟
仿真模拟
程序语言
我要订阅楼主
hqulhh
的主题更新
16
1/2
返回列表
1
2
下一页
如果回帖内容含有宣传信息,请如实选中。否则帐号将被全论坛禁言
普通表情
龙
兔
虎
猫
百度网盘
|
360云盘
|
千易网盘
|
华为网盘
在新窗口页面中打开自己喜欢的网盘网站,将文件上传后,然后将下载链接复制到帖子内容中就可以了。
信息提示
关闭
请填处理意见
关闭
确定