±±¾©Ê¯ÓÍ»¯¹¤Ñ§Ôº2026ÄêÑо¿ÉúÕÐÉú½ÓÊÕµ÷¼Á¹«¸æ
²é¿´: 432  |  »Ø¸´: 4

asdfgh1986

ľ³æ (³õÈëÎÄ̳)

Ò»

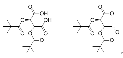
[ÇóÖú] Ë­ÓÐ(-)-¶þÌØÎìõ£»ù-L-¾ÆÊ¯ËáºÍ(-)-¶þÌØÎìõ£»ù-L-¾ÆÊ¯ËáôûµÄº¬Á¿ºÍeeÖµµÄ²â¶¨·½·¨

Ë­ÓÐ(-)-¶þÌØÎìõ£»ù-L-¾ÆÊ¯ËáºÍ(-)-¶þÌØÎìõ£»ù-L-¾ÆÊ¯ËáôûµÄº¬Á¿ºÍeeÖµµÄ²â¶¨·½·¨£¬¼±Ð衣лл£¡
»Ø¸´´ËÂ¥

» ²ÂÄãϲ»¶

» ±¾Ö÷ÌâÏà¹Ø¼ÛÖµÌùÍÆ¼ö£¬¶ÔÄúͬÑùÓаïÖú:

Ò»
ÒÑÔÄ   »Ø¸´´ËÂ¥   ¹Ø×¢TA ¸øTA·¢ÏûÏ¢ ËÍTAºì»¨ TAµÄ»ØÌû

yugijiang

ľ³æ (ÖøÃûдÊÖ)

¡¾´ð°¸¡¿Ó¦Öú»ØÌû

¸Ðл²ÎÓ룬ӦÖúÖ¸Êý +1
Äã¿ÉÒÔ°ÑÑùÆ·¼Äµ½ÉϺ£´óÈüè´¹«Ë¾×ö×ö¿´£¬Ò²¿ÉÒÔÏÈÓÃÐý¹âÒÇÅжÏÏÂ
2Â¥2012-07-27 13:56:46
ÒÑÔÄ   »Ø¸´´ËÂ¥   ¹Ø×¢TA ¸øTA·¢ÏûÏ¢ ËÍTAºì»¨ TAµÄ»ØÌû

asdfgh1986

ľ³æ (³õÈëÎÄ̳)

Ò»

ÒýÓûØÌû:
2Â¥: Originally posted by yugijiang at 2012-07-27 13:56:46
Äã¿ÉÒÔ°ÑÑùÆ·¼Äµ½ÉϺ£´óÈüè´¹«Ë¾×ö×ö¿´£¬Ò²¿ÉÒÔÏÈÓÃÐý¹âÒÇÅжÏÏÂ

ллÀ²£¡
Ðý¹âÒѾ­²âÁË¡£
ÎÒÃÇÏëÕÒµ½ËüµÄ²â¶¨·½·¨¡£ÆøÏ࣬ҺÏ࣬»¯Ñ§·ÖÎö·¨¾ù¿ÉÒÔ¡£
Ò»
3Â¥2012-07-27 14:42:22
ÒÑÔÄ   »Ø¸´´ËÂ¥   ¹Ø×¢TA ¸øTA·¢ÏûÏ¢ ËÍTAºì»¨ TAµÄ»ØÌû

yugijiang

ľ³æ (ÖøÃûдÊÖ)

¡¾´ð°¸¡¿Ó¦Öú»ØÌû

º¬Á¿µÄ»°ÓÃËá¼îµÎ¶¨¾ÍÄܲâµÃѽ
4Â¥2012-07-27 14:59:19
ÒÑÔÄ   »Ø¸´´ËÂ¥   ¹Ø×¢TA ¸øTA·¢ÏûÏ¢ ËÍTAºì»¨ TAµÄ»ØÌû

asdfgh1986

ľ³æ (³õÈëÎÄ̳)

Ò»

ÒýÓûØÌû:
4Â¥: Originally posted by yugijiang at 2012-07-27 14:59:19
º¬Á¿µÄ»°ÓÃËá¼îµÎ¶¨¾ÍÄܲâµÃѽ

ËáµÄ¿ÉÒÔµ«ÊÇËáôûÄØ
Ò»
5Â¥2012-07-27 15:01:08
ÒÑÔÄ   »Ø¸´´ËÂ¥   ¹Ø×¢TA ¸øTA·¢ÏûÏ¢ ËÍTAºì»¨ TAµÄ»ØÌû
Ïà¹Ø°æ¿éÌø×ª ÎÒÒª¶©ÔÄÂ¥Ö÷ asdfgh1986 µÄÖ÷Ìâ¸üÐÂ
×î¾ßÈËÆøÈÈÌûÍÆ¼ö [²é¿´È«²¿] ×÷Õß »Ø/¿´ ×îºó·¢±í
[¿¼ÑÐ] 22408£¬264Çóµ÷¼Á +3 ywh729 2026-04-03 4/200 2026-04-04 11:04 by ywh729
[¿¼ÑÐ] µ÷¼Á +8 JLLLLLLLLLL 2026-04-03 8/400 2026-04-03 22:06 by Î޼ʵIJÝÔ­
[¿¼ÑÐ] µ÷¼Á +6 19945159693 2026-04-03 7/350 2026-04-03 22:04 by à£à£à£0119
[¿¼ÑÐ] 283·ÖÇóµ÷¼Á +6 СÄô°®Ñ§Ï° 2026-04-03 6/300 2026-04-03 20:46 by zhq0425
[¿¼ÑÐ] 327Çóµ÷¼Á +9 С¿¨²»¿¨. 2026-03-29 9/450 2026-04-03 19:48 by °ÙÁéͯ888
[¿¼ÑÐ] ¿¼Ñе÷¼Á +3 Draa 2026-04-03 3/150 2026-04-03 17:37 by hgwz7468
[¿¼ÑÐ] 293Çóµ÷¼Á +5 ĩδmm 2026-04-02 6/300 2026-04-03 15:20 by Íõ±£½Ü33
[¿¼ÑÐ] 306·Ö²ÄÁÏÓ뻯¹¤Çóµ÷¼Á +4 Àè°ÉÀ²À²ÄãºÜÓÐà 2026-04-03 4/200 2026-04-03 11:24 by wangjy2002
[¿¼ÑÐ] 322Çóµ÷¼Á£ºÒ»Ö¾Ô¸ºþÄÏ´óѧ ²ÄÁÏÓ뻯¹¤£¨085600£©£¬ÒѹýÁù¼¶¡£ +12 XXСµË 2026-03-29 13/650 2026-04-02 21:39 by °ÙÁéͯ888
[¿¼ÑÐ] Çóµ÷¼Á +7 Aniyaio 2026-04-02 7/350 2026-04-02 16:42 by zzsw+
[¿¼ÑÐ] 26¿¼Ñе÷¼Á +4 Wnz.20030617 2026-04-01 5/250 2026-04-02 16:11 by 1939136013¹·×³
[¿¼ÑÐ] 275ѧ˶081000·þ´Óµ÷¼Áµ½ÆäËûרҵ£¬±£²»×¡±¾×¨ÒµÁË +7 һֻССˮţ 2026-04-02 8/400 2026-04-02 14:23 by alice-2022
[¿¼ÑÐ] 0832ʳƷ¿ÆÑ§Ó빤³Ìѧ˶282µ÷¼Á +4 ÓãÔÚË®ÖÐÓÎa 2026-04-02 7/350 2026-04-02 14:12 by baoball
[¿¼ÑÐ] ²ÄÁÏÇóµ÷¼Á +10 ÄØÄØÄÝÄÝ 2026-04-01 13/650 2026-04-02 09:17 by olim
[¿¼ÑÐ] 265Çóµ÷¼Á +11 yelck 2026-04-01 12/600 2026-04-01 19:12 by 549790059
[¿¼ÑÐ] 0703Ò»Ö¾Ô¸ÄÏʦ´ó334Çóµ÷¼Á +4 seven7yu 2026-03-30 4/200 2026-04-01 16:10 by oooqiao
[˶²©¼ÒÔ°] ²©Ò»±»ËͳöÁªÅà¸Ð¾õ²»ÊÊÓ¦Ôõô°ì +3 È«´åµÄ¹· 2026-03-31 3/150 2026-04-01 10:44 by 328838485
[¿¼ÑÐ] ²ÄÁϹ¤³Ì085601Êý¶þÓ¢Ò»335Çóµ÷¼Á +5 Ë«ÂíβƦÀϰå2 2026-03-31 5/250 2026-03-31 19:07 by Wang200018
[¿¼ÑÐ] ¼ª´óÉúÎïѧ326·ÖÇóµ÷¼Á +3 sunnyupup 2026-03-31 3/150 2026-03-31 09:28 by longlotian
[¿¼ÑÐ] 305Çóµ÷¼Á +8 RuiFairyrui 2026-03-28 8/400 2026-03-29 08:22 by fmesaito
ÐÅÏ¢Ìáʾ
ÇëÌî´¦ÀíÒâ¼û