| 查看: 2309 | 回复: 0 | ||
[求助]
边界条件与流量相关时如何在comsol 中进行设置?
|
|
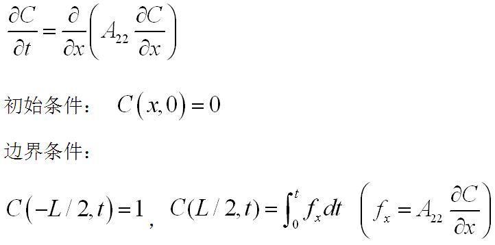
各位大虾,请问边界条件与流量相关时如何在comsol 中进行设置? 简化后的问题如下: 在comsol3.5中,当我在【物理量】->【ode设定】中进行时间积分设置后,在计算时却提示应变量c为全局变量不能计算。我该如何引用c以及cx在边界上的值呢? [ Last edited by yaolonghe on 2012-8-16 at 09:27 ] |
» 猜你喜欢
博士推荐
已经有4人回复
求环氧树脂研发1名
已经有10人回复
280求调剂
已经有5人回复
什么是人一生最重要的?
已经有10人回复
面上可以超过30页吧?
已经有13人回复
网上报道青年教师午睡中猝死、熬夜猝死的越来越多,主要哪些原因引起的?
已经有10人回复
为什么中国大学工科教授们水了那么多所谓的顶会顶刊,但还是做不出宇树机器人?
已经有13人回复
版面费该交吗
已经有17人回复
【博士招生】太原理工大学2026化工博士
已经有8人回复
找到一些相关的精华帖子,希望有用哦~
怎么设置出口边界条件
已经有14人回复
边界条件的设置
已经有9人回复
边界条件设置问题?
已经有8人回复
怎么设置速度出口边界条件!!
已经有8人回复
Fluent中压力入口边界条件怎么设置
已经有21人回复
Fluent 入口边界条件设置:是质量流量还是速度入口?
已经有11人回复
【求助】封闭空腔,口边界空气向外界渗透模型,如何设置出口边界条件?
已经有3人回复
边界条件设定
已经有8人回复
如何处理comsol 边界条件和后处理能流积分
已经有3人回复
设置怎样的边界条件好呢
已经有6人回复
想用comsol解泊松方程,却不知道怎么设边界条件
已经有7人回复
边界条件的设定问题
已经有7人回复
【求助】comsol中PML设置
已经有8人回复
【求助】怎样在comsol里设定边界的压力(50金币)
已经有4人回复
科研从小木虫开始,人人为我,我为人人













回复此楼
点击这里搜索更多相关资源