| ²é¿´: 6547 | »Ø¸´: 45 | ||||
[½»Á÷]
6Ô·ÝÏÈÉùÒ©ÒµÉÏÊÐÁËÒ»ÀàÐÂÒ©---°¬ÀĪµÂ£¨·ÇçÞÌ忹Ñ×Ò©£©
|
||||
| 2012ÄêÏÈÉùÒ©ÒµÉÏÊÐÁËÒ»ÀàÐÂÒ©---°¬ÀĪµÂ£¨Iguratimod£©£¬·ÇçÞÌ忹Ñ×Ò©£¬ÆäºÏ³É¡¢¹¹Ð§¹ØÏµÒÔ¼°Êг¡Ç°¾°ÈçºÎ£¿»¶Ó´ó¼ÒÀ´ÌÖÂÛ¡£ |
» ÊÕ¼±¾ÌûµÄÌÔÌûר¼ÍƼö
ÐÂÒ©·¢ÏÖ |
» ±¾ÌûÒÑ»ñµÃµÄºì»¨£¨×îÐÂ10¶ä£©
» ²ÂÄãϲ»¶
2026Éê²©ÍÆ¼ö
ÒѾÓÐ1È˻ظ´
һƪÀ©É¢Ä£Ð͵ÄNature Machine IntelligenceÂÛÎĺÍElsevierÉϵÄÉî¶ÈѧϰҩÎïÊé¼®
ÒѾÓÐ1È˻ظ´
Ò©ÀíѧÂÛÎÄÈóÉ«/·ÒëÔõôÊÕ·Ñ?
ÒѾÓÐ222È˻ظ´
ÖйúÒ©¿Æ´óѧ2026Èëѧ²©Ê¿£¬Ò©ÎïºÏ³ÉºÍÉè¼Æ¾Ñ飬·ÅÉ仯ѧ¼°·ÅÉäҽѧÑо¿
ÒѾÓÐ25È˻ظ´
ʹÓÃMolAICal½øÐжàëÄÐéÄâɸѡ½Ì³Ì-ͬÑùÊÊÓÃÓÚµ°°×ÖʺͺËËáµÄÐéÄâɸѡ
ÒѾÓÐ1È˻ظ´
ʹÓÃMolAICal¼ÆËãÒ©Îﻯѧ¹ýÂËÆ÷MCFs¼°MCE-18ÃèÊö·û
ÒѾÓÐ0È˻ظ´
ʹÓÃMolAICal·¢ÏÖµ°°×ÊÜÌåDZÔڵĻîÐÔ¿Ú´ü¼°Î»µã
ÒѾÓÐ0È˻ظ´
»ªÀíҩѧѧ˶Çóµ÷¼Á£¬×Ü·Ö324
ÒѾÓÐ0È˻ظ´
°ÄÃÅÀí¹¤´óѧÈ˹¤ÖÇÄÜÒ©Îï·¢ÏÖÖÐÐÄÕÐÊÕ2026¼¶²©Ê¿Ñо¿Éú£¨ÉêÇë-¿¼ºËÖÆ£©
ÒѾÓÐ10È˻ظ´
» ÇÀ½ð±ÒÀ²£¡»ØÌû¾Í¿ÉÒԵõ½:
̨ÖÝѧԺ¸ß¶ËºÏ½ðÑо¿ËùÕÐÊÕ²ÄÁϹ¤³Ì¡¢ÄÉÃ׿ÆÑ§Ó빤³Ìµ÷¼ÁÉú¡£
+1/187
˫һÁ÷ÄϾ©Ò½¿Æ´óѧÕмÆËã»ú¡¢ÉúÎïÐÅÏ¢µÈ·½ÏòÑо¿Éúµ÷¼Á
+1/89
¹þ¶û±õ¹¤³Ì´óѧºË¶¯Á¦×°ÖÃÑо¿ËùÕÐÊÕ1-2Ãû²©Ê¿Éú
+1/88
Ò»Õ½³É˶µÄ¾ø¼Ñ»ú»á£¬Çൺũ´ó²ÝҵѧԺ2026ÄêÈÔÓдóÁ¿µ÷¼ÁÃû¶î
+5/30
¼ÃÄÏ´óÑ§Ç°ÑØ½»²æÔº Õл¯Ñ§Ñ§Ë¶£¨ÎïÀí¿Éµ÷£©»ò ²ÄÁÏÓ뻯¹¤×¨Ë¶
+1/20
º¼ÖÝҽѧԺÕÅ·êÖʽÌÊÚ¿ÎÌâ×éÕÐÊÕҩѧ˶ʿÑо¿ÉúÈô¸É
+1/19
ÕÐ07¼°08¿ªÍ·»¯Ñ§¡¢²ÄÁÏ¡¢»·¾³¡¢Ê³Æ·¡¢ÉúÎïÓëÒ½Ò©µÈµ÷¼ÁÉú
+2/18
Î人ÇṤ´óѧ»¯»·Ñ§Ôº£¨Ê¡ÖصãʵÑéÊÒ£©»¯Ñ§¹¤³ÌÓë¼¼Êõ£¨¹¤¡¢Àí¾ù¿É£©ÓÐÉÙÁ¿µ÷¼ÁÃû¶î
+1/13
Ò©Îﻯѧ¡¢²ÄÁÏÓ뻯¹¤×¨Òµ»¹ÓдóÁ¿Ãû¶î£¬ËÙ±¨Ãû£¡£¡£¡
+1/12
×îºóµ÷¼ÁÃû¶î£¬ÀöˮѧԺ²ÄÁÏÓëÄÜÔ´¹¤³ÌѧԺ
+1/12
ºÓÄÏũҵ´óѧÁõÁ¢½Ü¿ÎÌâ×éÕÐÊÕ»¯Ñ§Ñ§Ë¶ºÍ²ÄÁÏÓ뻯¹¤×¨Ë¶µ÷¼ÁÉú¹ý¹ú¼ÒÏß¼´¿É
+1/9
¡ïÉϺ£¡ïÉϺ£¹¤³Ì¼¼Êõ´óѧ¡¤»·¾³Óë×ÊÔ´´´ÐÂÖÐÐÄ£¨ICER£©½ÓÊÕ»¯¹¤²ÄÁÏ»·¾³µÈѧ¿Æµ÷¼ÁÉú
+1/9
¡ïÉϺ£¡ïÉϺ£¹¤³Ì¼¼Êõ´óѧ¡¤»·¾³Óë×ÊÔ´´´ÐÂÖÐÐÄ£¨ICER£©½ÓÊÕ»¯¹¤²ÄÁÏ»·¾³µÈѧ¿Æµ÷¼ÁÉú
+1/8
½Î÷¿Æ¼¼Ê¦·¶´óѧÉêÁÁ×éÕÐÑо¿Éú
+1/6
¸£½¨Àí¹¤´óѧѧ˶רҵ´úÂë08¿ªÍ·»¹Óе÷¼ÁÃû¶î
+1/6
ÆëÆë¹þ¶û´óѧÀîÀò¿ÎÌâ×é³ÏÕÐ2026¼¶¿¼Ñе÷¼ÁÉú£¨Ñ§Ë¶ºÍר˶£©
+1/5
Postdoc position in continuum mechanics of brain tissue at KTH
+1/5
Postdoc position in continuum mechanics of brain tissue at KTH in Stockholm
+1/5
ÆëÆë¹þ¶û´óѧÀîÀò¿ÎÌâ×é³ÏÕÐ2026¼¶¿¼Ñе÷¼ÁÉú£¨Ñ§Ë¶ºÍר˶£©
+1/4
¼ÃÄÏ´óѧ2026Äê˶ʿÑо¿ÉúÕÐÉúÔ¤µ÷¼Á¹«¸æ
+1/1
mrzouhao
ľ³æÖ®Íõ (ÎÄ̳¾«Ó¢)
- DRDEPI: 1
- Ó¦Öú: 179 (¸ßÖÐÉú)
- ¹ó±ö: 0.108
- ½ð±Ò: 100984
- Ìû×Ó: 46823
- ÔÚÏß: 4413.2Сʱ
- ³æºÅ: 201350
¡ï ¡ï
chinashilei(½ð±Ò+1): лл²ÎÓë
³ÕÒÄ×ÓÆ¤: ½ð±Ò+1, лл½»Á÷ 2012-07-26 10:35:33
chinashilei(½ð±Ò+1): лл²ÎÓë
³ÕÒÄ×ÓÆ¤: ½ð±Ò+1, лл½»Á÷ 2012-07-26 10:35:33
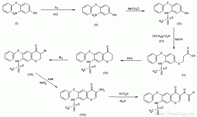
| °¬ÀεÂ(Iguratimod,T-614)×÷ΪһÖÖÖÎÁÆ·çʪ¹Ø½ÚÑ×µÄÐÂÐÍ·ÇçÞÌ忹Ñ×Ò©Îï[3],ÊÇÓÉÈÕ±¾¸»É½ÓëÎÀ²ÄÖÆÒ©¹«Ë¾ÁªºÏÑÐÖÆ¿ª·¢µÄ,»¯Ñ§Ãû3-¼×õ£°·»ù-7-¼×»Çõ£°·»ù-6-±½Ñõ»ù-4 H-1-±½±ûßÁà«-4-ͪ¡£ |
11Â¥2012-07-26 10:26:24
18Â¥2012-07-26 10:56:19
¡ï ¡ï ¡ï
chinashilei(½ð±Ò+1): лл²ÎÓë
³ÕÒÄ×ÓÆ¤: ½ð±Ò+2, лл½»Á÷£¬»¶Ó³£À´Å¶¡£ 2012-07-26 16:40:17
chinashilei(½ð±Ò+1): лл²ÎÓë
³ÕÒÄ×ÓÆ¤: ½ð±Ò+2, лл½»Á÷£¬»¶Ó³£À´Å¶¡£ 2012-07-26 16:40:17
25Â¥2012-07-26 13:40:50
Ò©µÀÈË
ÈÙÓþ°æÖ÷ (ÎÄ̳¾«Ó¢)
-

ר¼Ò¾Ñé: +71 - DRDEPI: 1
- Ó¦Öú: 38 (СѧÉú)
- ¹ó±ö: 6.92
- ½ð±Ò: 27026.1
- Ìû×Ó: 25008
- ÔÚÏß: 1356.1Сʱ
- ³æºÅ: 336426
26Â¥2012-07-26 14:34:00
28Â¥2012-07-26 15:23:19
¡ï ¡ï
chinashilei(½ð±Ò+1): лл²ÎÓë
³ÕÒÄ×ÓÆ¤: ½ð±Ò+1, лл½»Á÷£¬»¶Ó³£À´Å¶¡£ 2012-07-26 16:40:40
chinashilei(½ð±Ò+1): лл²ÎÓë
³ÕÒÄ×ÓÆ¤: ½ð±Ò+1, лл½»Á÷£¬»¶Ó³£À´Å¶¡£ 2012-07-26 16:40:40
|
ÄúºÃ£¬²»ÊǺÜͬÒâÄúµÄ¹Ûµã¡£ ÎÒÈÏΪÉúÎïÖÆ¼ÁÓÉÓÚ¼Û¸ñÌ«¸ß£¬¶øÇÒÓÖ×÷Ϊ³¤ÆÚÓÃÒ©£¬¹úÄÚÆÕͨÀϰÙÐÕ£¬»òÕß˵´ó²¿²¡ÈËÒ»°ãºÜÄÑÏû·ÑµÃÆð¡£ÁíÒ»·½Ã棬Àà·ç¹Ø²¢²»Ïñ¶ñÐÔÖ×ÁöÄÇÑùÍþвÉúÃü£¬ËùÒԲŻá³öÏÖС·Ö×ÓÀà·çʪ¹Ø½ÚÑ×ÒÖÖÆ¼ÁÑз¢±È½ÏÈÈ£¬ÏñJAK3£¬SYK£¬BTKµÈÒÖÖÆ¼ÁµÄ·¢Õ¹¡£¶ø×÷ΪTNFÒÖÖÆ¼ÁµÄС·Ö×ÓÒ©ÎïÑз¢Ïà¶Ô±È½ÏÉÙ£¬ËùÒÔºÜÄÑÔ¤²âÕâ¸öÒ©µÄǰ¾°£¬µ«ÎÒ¸öÈË»¹ÊÇ¶ÔÆä±§ÓÐÒ»¶¨µÄÏ£Íû£¬ÖÁÉÙ²»»á±ÈDMARDsЧ¹û²î¡£³¤ÆÚÀ´¿´£¬¸üÊÊºÏÆÕͨ´óÖÚ¶ÔDMARDsµÄÌæ´úÆ·£¬×ÜÖ®ÓдýÊг¡¼ìÑ顣ϣÍûÊǹã´ó»¼Õߵĸ£Òô¡£ÈôÓв»ÕýÈ·µÄµØ·½£¬»¹Ô´ó¼ÒÖ¸Õý¡£ |
29Â¥2012-07-26 16:14:45
chinashilei(½ð±Ò+1): лл²ÎÓë
³ÕÒÄ×ÓÆ¤: ½ð±Ò-1, רҵ°æÃ棬ÇëÎð¹àË®£¬Ð»Ð»ºÏ×÷ 2012-07-26 10:34:52
³ÕÒÄ×ÓÆ¤: ½ð±Ò-1, רҵ°æÃ棬ÇëÎð¹àË®£¬Ð»Ð»ºÏ×÷ 2012-07-26 10:34:52
| ¹Ø×¢Ò»Ï |
7Â¥2012-07-26 10:20:10
15Â¥2012-07-26 10:46:38
31Â¥2012-07-26 16:47:33
32Â¥2012-07-26 16:51:19
Ò©µÀÈË
ÈÙÓþ°æÖ÷ (ÎÄ̳¾«Ó¢)
-

ר¼Ò¾Ñé: +71 - DRDEPI: 1
- Ó¦Öú: 38 (СѧÉú)
- ¹ó±ö: 6.92
- ½ð±Ò: 27026.1
- Ìû×Ó: 25008
- ÔÚÏß: 1356.1Сʱ
- ³æºÅ: 336426
¡ï ¡ï ¡ï
Сľ³æ: ½ð±Ò+0.5, ¸ø¸öºì°ü£¬Ð»Ð»»ØÌû
³ÕÒÄ×ÓÆ¤: ½ð±Ò+2, лл½»Á÷£¬ÐÁ¿àÁË¡£ 2012-07-27 08:13:05
Сľ³æ: ½ð±Ò+0.5, ¸ø¸öºì°ü£¬Ð»Ð»»ØÌû
³ÕÒÄ×ÓÆ¤: ½ð±Ò+2, лл½»Á÷£¬ÐÁ¿àÁË¡£ 2012-07-27 08:13:05
|
µÚÒ»£¬ÉúÎïÖÆ¼ÁÊǼ۸ñ¸ß£¬ÒòΪûÓнøÒ½±£ºÍ¹ú²ú·ÂÖÆ£¬Î´À´±ØÈ»ÓÐÇ÷ÊÆ½øÒ½±£ºÍ·ÂÖÆ£¬¼Û¸ñ±ØÈ»Ï½µ¡£ µÚ¶þ£¬TNFС·Ö×ÓÒÖÖÆ¼Á¾Í²»ÐèÒª³¤ÆÚÓÃÒ©£¿ µÚÈý£¬TNFС·Ö×ÓÒÖÖÆ¼ÁÔÚ¸±×÷ÓúÍÁÆÐ§·½ÃæÄÑÒÔ³¬¹ýÉúÎïÖÆ¼Á µÚËÄ£¬Èç¹û´ËÒ©Ö»ÊÇÀ´´úÌæDMARDs£¬¾ÍûÓжà´óÒâÒå µÚËÄ£¬Äã¿ÉÒÔ¿´¿´ÏÖÔÚÅ·ÃÀÀà·çʪÊг¡ÉúÎïÖÆÒ©µÄÕ¼ÓÐÂÊ£¬¾ÍÖªµÀС·Ö×ÓûÓÐÊг¡ ´ÓÑз¢½Ç¶È¿´TNFС·Ö×ÓÒÖÖÆ¼ÁÑз¢ÊÇûÓÐ´í£¬µ«ÊÇÄãÑз¢³öÀ´£¬Êг¡ÒѾ±¥ºÍ£¬ÄÄÀïÓÐÈÝÉíÖ®µØ£¿£¿ Ò½Ò©Ò»µ©ÍÑÀëÊг¡£¬¾Í±ä³ÉÁËʵÑéÊÒµÄÓÎÏ·¶øÒÑ |
34Â¥2012-07-26 17:19:24
35Â¥2012-07-26 18:25:03
¡ï ¡ï ¡ï
Сľ³æ: ½ð±Ò+0.5, ¸ø¸öºì°ü£¬Ð»Ð»»ØÌû
³ÕÒÄ×ÓÆ¤: ½ð±Ò+2, лл½»Á÷£¬ÐÁ¿àÁË¡£ 2012-07-27 08:13:16
Сľ³æ: ½ð±Ò+0.5, ¸ø¸öºì°ü£¬Ð»Ð»»ØÌû
³ÕÒÄ×ÓÆ¤: ½ð±Ò+2, лл½»Á÷£¬ÐÁ¿àÁË¡£ 2012-07-27 08:13:16
|
Àà·ç¹Ø¶¼ÊÇÒª³¤ÆÚÓÃÒ©µÄ£¬Õâ¸ö×÷Ϊרҵ°æ¿é£¬ÄúÕâÑù½ÒÎÊÎÒ£¬¿ÉÄÜÊÇÎһظ´µÄÓïÑÔ±í´ï²»Çå³þ£¬µ«¸üÖ±½ÓµÄ¾ÍÊÇÏÔµÃÄúµÄÆø¶È²»ÊǺܴó£¬ËùÒÔÎÒÏë˵£¬´ó¼ÒÖ»Êǽ»Á÷¸öÈ˹۵㿴·¨£¬²»ÓôøÇéÐ÷Â±¾ÈË˵»°Ò»ÏòºÜ¿ÍÆø£¬²»Ï²»¶±çÂÛ£¬½»Á÷ѧϰÂï¡£ËùÒÔÏ£ÍûÕâÀï´ó¼ÒÒ²¶¼¿Í¿ÍÆøÆøµÄ£¬Äú˵µÄ¼¸µãÎÒÒ²ËãÊÇѧϰÀ²£¬±Ï¾¹¸Õ½Ó´¥Õâ¸öÑз¢ÁìÓòô¶à¾Ã£¬Êг¡·½ÃæÒ²Á˽âµÄ¸üÉÙһЩ¡£ËµÔ¶ÁË£¬±ð½éÒâ¡£ÄÇô˵»ØÀ´£¬¼Û¸ñµÍµÄÓ¦¸Ã¸üÈÝÒ×ʵÏÖ³¤ÆÚÓÃÒ©°É£¬±Ï¾¹Ð¡·Ö×ÓÒÖÖÆ¼ÁµÄÁÆÐ§ÒѾÌá¸ßÁË£¬»ÔÈðµÄjak3ÒÖÖÆ¼Á²»ÊÇfdaÒѾÅúÁËÂ¶øÇÒ±»¼ÄÓèºÜ´óÏ£Íû£¬Å·ÃÀ´óÒ©¹«Ë¾Ò²ÓкܶàÔÚÑеÄС·Ö×ÓÒÖÖÆ¼Á°¡¡£ÎÒ¾õµÃÔÚÏ൱³¤µÄÒ»¶Îʱ¼äÄÚ£¬ÉúÎïÖÆ¼Á»¹²»ÄÜÕ¼Áì¹úÄÚÊг¡£¬ËäÈ»ÄǼ¸¸öµ¥¿¹ÔÚÍâ¹úÂôµÄºÜ»ð£¬µ«ÊǽøÒ½±£ºÍ¹ú²ú·ÂÖÆÃ²ËÆÒ²²»ÊÇһʱ°ë»áµÄ£¬Õâ¸öÎÒûÓе÷Ñйý£¬Æ¾¸Ð¾õ˵µÄ£¬ÄÇôÕâÆÚ¼ä¾Í¸øÐ¡·Ö×ÓÒ©ÎïÁôÏÂÁËÉú´æµÄ¿Õ¼ä£¬Ò©ÎïÔÚ·¢Õ¹£¬ÓÐÁÆÐ§¸üºÃµÄС·Ö×ÓÌæ´úDMARDsÒ©Îï²»ºÃô£¿¿öÇÒС·Ö×ÓÒ²ÔÚ·¢Õ¹°¡£¬ÁÆÐ§¿ÉÒÔÌá¸ß£¬¸±×÷ÓÃÒ²»á½µµÍ£¬»òÐí»¹Ã»µÈµ¥¿¹±¥ºÍÊг¡£¬Ð¡·Ö×ÓÒѾÓÐÁÆÐ§Ï൱µÄ²úÆ·³öÏÖÁËÄØ£¬²»¹ý£¬Õâ¸öȷʵ²»ºÃ˵¡£ËäȻŷÃÀÊг¡ÉúÎïÒ©µ¥¿¹Õ¼¾ÝÁËÖ÷Òª·Ý¶î£¬µ«¹úÄÚÐÎÊÆÒ²Ó¦¸Ã¿¼ÂÇ£¬Õâ¸öºÍÒ½Ò©¹«Ë¾Êг¡·½Ãæ×öµÄЧ¹ûÓ¦¸ÃÓкܴó¹ØÏµ£¬¿´ÄÜ·ñÓëÉúÎïÖÆ¼Á¾ºÕùÁË¡£ÁíÍ⣬ÁÆÐ§ÉϺûµ¶Ô±ÈÖ»ÊÇÁÙ´²ÊµÑé½á¹ûÖ¤Ã÷µÄ£¬ÖйúÈ˶ÔÓÚÕâÖÖ²¡Í´£¬»¹ÊǻῼÂǼ۸ñÒòËØµÄ£¬ÇÐÉíÌå»áµÄ£¬ËùÒÔÕâÒ²ÊÇÖ§³ÖÎÒµÄÒ»¸öÒòËØ¡£ |
36Â¥2012-07-27 00:10:09
37Â¥2012-07-27 11:07:08
38Â¥2012-08-05 15:33:50
39Â¥2012-08-05 15:36:26
41Â¥2012-09-10 10:23:13
¡ï
Сľ³æ: ½ð±Ò+0.5, ¸ø¸öºì°ü£¬Ð»Ð»»ØÌû
Сľ³æ: ½ð±Ò+0.5, ¸ø¸öºì°ü£¬Ð»Ð»»ØÌû
|
°¬ÀεÂ(Iguratmod T- 614)×÷ΪһÖÖÖÎÁÆ·çʪ¹Ø½ÚÑ×µÄÐÂÐÍ·ÇçÞÌ忹Ñ×Ò©ÎÊÇÓÉÈÕ±¾¸»É½ÓëÎÀ²ÄÖÆÒ©¹«Ë¾ÁªºÏÑÐÖÆ¿ª·¢µÄ£¬»¯Ñ§Ãû3-¼×õ£°·»ù- 7-¼×»Çõ£°·»ù- 6-±½Ñõ»ù- 4H- 1-±½±ûßÁà«- 4-ͪ¡£Ëü¿ÉÑ¡ÔñÐÔÒÖÖÆ»·Ñõ»¯Ã¸COx-2Äܵ÷½ÚT-ϸ°û£¬¾ßÓÐ×ÔÉíÃâÒßµ÷½Ú×÷Óá£ÓëÒÔÍùµÄÖÎÁÆÒ©ÎïÏà±ÈÏÔЧѸËÙ£¬ÆäÁÆÐ§Óë¸ßЧµÄ¿¹·çʪҩµÈͬÇÒ¶¾ÐԵͣ¬»¹¿ÉÒÔ¿Ú·þ¸øÒ©£¬¾ßÓÐÁ¼ºÃµÄ·¢Õ¹Ç°¾°¡£ InabaµÈ±¨µÀ£¬ºÏ³É°¬ÀĪµÂµÄ·ÏßÖ÷ÒªÓÐ3Ìõ£¬ÎÒÃǸù¾Ýʵ¼ÊÇé¿öѡȡÁËÆäÖÐlÌõ£ºÒÔ4-ÂÈ-3 -Ïõ»ù±½¼×ÃÑÓë·ÓÑõ»ù¸ºÀë×Ó·¢ÉúÇ׺ËÈ¡´ú·´Ó¦£¬ºó¾¹ýÌú·Û»¹Ô¡¢¼×»Çõ£»¯¡¢õ£»¯¡¢¸ÇÌØÂü-¿ÆºÕ·´Ó¦¡¢¼×Ñõ»ùË®½â¡¢»·»¯7²½·´Ó¦ÖƵᣴ˷ÏßÔÁÏÒ׵㬶øÇÒ·´Ó¦Ìõ¼þ½Ïκͣ¬³É±¾½ÏµÍ£¬Ò×ÓÚʵÏÖ¹æÄ£»¯Éú²ú¡£ ²ÄÁÏÀ´Ô´[1] Æî¸Õ, ÕÅÒø»ª. ÖÎÁÆÀà·çʪ¹Ø½ÚÑ×ÐÂÒ©¡ª°¬ÀĪµÂµÄÑо¿½øÕ¹[J]. »¯¹¤Ê±¿¯ , 2010,(03) [2] ÍôÑàÏè, ¸ßºì, ²Ü·ï»ª, Ëε¤Çà. °¬ÀĪµÂµÄºÏ³ÉÑо¿[J]. ÖйúÐÂÒ©ÔÓÖ¾ , 2006,(23) |
42Â¥2012-09-10 11:04:58
yuanhangboy
½ð³æ (ÕýʽдÊÖ)
- DRDEPI: 2
- Ó¦Öú: 7 (Ó×¶ùÔ°)
- ½ð±Ò: 1256
- Ìû×Ó: 349
- ÔÚÏß: 68.6Сʱ
- ³æºÅ: 347621
44Â¥2012-09-10 15:00:50
PSA
ר¼Ò¹ËÎÊ (ÖøÃûдÊÖ)
- Ó¦Öú: 41 (СѧÉú)
- ¹ó±ö: 0.287
- ½ð±Ò: 6557.6
- Ìû×Ó: 1157
- ÔÚÏß: 392.7Сʱ
- ³æºÅ: 685572
¡ï
Сľ³æ: ½ð±Ò+0.5, ¸ø¸öºì°ü£¬Ð»Ð»»ØÌû
Сľ³æ: ½ð±Ò+0.5, ¸ø¸öºì°ü£¬Ð»Ð»»ØÌû
|
pfizerµÄJAK3ÒÖÖÆ¼Átofacitinib»¹Î´»ñÅúŶ£¬Ô±¾ÊÇ8ÔÂ23ºÅ£¬µ«ÍƳٵ½11ÔÂ23ºÅÁË¡£ ¸öÈËϲºÃС·Ö×ÓÒ©ÎͬʱҲ±È½Ï¿´ºÃO(¡É_¡É)O ¶ÔÓÃÒ©Õß¶øÑÔ£¬¶àÒ»ÖÖÒ©Îï¾Í¶à¸öÑ¡Ôñ£¬ÄĸöÊʺϾÍÑ¡ÔñÄĸö£¬Õâ¿Ï¶¨ÊǺÃʺǺǣ¡ ¶Ô¿ª·¢ÉÌ&Ñз¢Õß¶øÑÔ£¬µ±È»Ï£ÍûÒ©ÎïÄܱ»´óÂôºÇºÇ£¬Ò»·½ÃæÓÐËùÊÕÒæ£¬ÁíÒ»·½ÃæÑо¿³É¹ûµÃµ½ÈϿɣ¡ |
46Â¥2012-09-12 15:04:44
¼òµ¥»Ø¸´
neu2342Â¥
2012-07-26 09:58
»Ø¸´
chinashilei(½ð±Ò+1): лл²ÎÓë
³ÕÒÄ×ÓÆ¤: ½ð±Ò-1, רҵ°æÃ棬ÇëÎð¹àË®£¬Ð»Ð»ºÏ×÷¡£ 2012-07-26 09:59:31
³ÕÒÄ×ÓÆ¤: ½ð±Ò-1, רҵ°æÃ棬ÇëÎð¹àË®£¬Ð»Ð»ºÏ×÷¡£ 2012-07-26 09:59:31
wba82633Â¥
2012-07-26 10:01
»Ø¸´
chinashilei(½ð±Ò+1): лл²ÎÓë
³ÕÒÄ×ÓÆ¤: ½ð±Ò-1, רҵ°æÃ棬ÇëÎð¹àË®£¬Ð»Ð»ºÏ×÷ 2012-07-26 10:34:21
³ÕÒÄ×ÓÆ¤: ½ð±Ò-1, רҵ°æÃ棬ÇëÎð¹àË®£¬Ð»Ð»ºÏ×÷ 2012-07-26 10:34:21
¼Ù´ó¿Õ4Â¥
2012-07-26 10:04
»Ø¸´
chinashilei(½ð±Ò+1): лл²ÎÓë
³ÕÒÄ×ÓÆ¤: ½ð±Ò-1, רҵ°æÃ棬ÇëÎð¹àË®£¬Ð»Ð»ºÏ×÷ 2012-07-26 10:34:28
³ÕÒÄ×ÓÆ¤: ½ð±Ò-1, רҵ°æÃ棬ÇëÎð¹àË®£¬Ð»Ð»ºÏ×÷ 2012-07-26 10:34:28
mcao835Â¥
2012-07-26 10:09
»Ø¸´
chinashilei(½ð±Ò+1): лл²ÎÓë
³ÕÒÄ×ÓÆ¤: ½ð±Ò-1, רҵ°æÃ棬ÇëÎð¹àË®£¬Ð»Ð»ºÏ×÷ 2012-07-26 10:34:36
³ÕÒÄ×ÓÆ¤: ½ð±Ò-1, רҵ°æÃ棬ÇëÎð¹àË®£¬Ð»Ð»ºÏ×÷ 2012-07-26 10:34:36
jiangxl.06186Â¥
2012-07-26 10:15
»Ø¸´
chinashilei(½ð±Ò+1): лл²ÎÓë
³ÕÒÄ×ÓÆ¤: ½ð±Ò-1, רҵ°æÃ棬ÇëÎð¹àË®£¬Ð»Ð»ºÏ×÷ 2012-07-26 10:34:42
³ÕÒÄ×ÓÆ¤: ½ð±Ò-1, רҵ°æÃ棬ÇëÎð¹àË®£¬Ð»Ð»ºÏ×÷ 2012-07-26 10:34:42
jingshuikeke8Â¥
2012-07-26 10:20
»Ø¸´
chinashilei(½ð±Ò+1): лл²ÎÓë
³ÕÒÄ×ÓÆ¤: ½ð±Ò-1, רҵ°æÃ棬ÇëÎð¹àË®£¬Ð»Ð»ºÏ×÷ 2012-07-26 10:35:00
³ÕÒÄ×ÓÆ¤: ½ð±Ò-1, רҵ°æÃ棬ÇëÎð¹àË®£¬Ð»Ð»ºÏ×÷ 2012-07-26 10:35:00
longway1029Â¥
2012-07-26 10:23
»Ø¸´
chinashilei(½ð±Ò+1): лл²ÎÓë
³ÕÒÄ×ÓÆ¤: ½ð±Ò-1, רҵ°æÃ棬ÇëÎð¹àË®£¬Ð»Ð»ºÏ×÷ 2012-07-26 10:35:06
³ÕÒÄ×ÓÆ¤: ½ð±Ò-1, רҵ°æÃ棬ÇëÎð¹àË®£¬Ð»Ð»ºÏ×÷ 2012-07-26 10:35:06
chuyazhou10Â¥
2012-07-26 10:25
»Ø¸´
chinashilei(½ð±Ò+1): лл²ÎÓë
³ÕÒÄ×ÓÆ¤: ½ð±Ò-1, רҵ°æÃ棬ÇëÎð¹àË®£¬Ð»Ð»ºÏ×÷ 2012-07-26 10:35:13
³ÕÒÄ×ÓÆ¤: ½ð±Ò-1, רҵ°æÃ棬ÇëÎð¹àË®£¬Ð»Ð»ºÏ×÷ 2012-07-26 10:35:13
wuge41512Â¥
2012-07-26 10:28
»Ø¸´
chinashilei(½ð±Ò+1): лл²ÎÓë
³ÕÒÄ×ÓÆ¤: ½ð±Ò-1, רҵ°æÃ棬ÇëÎð¹àË®£¬Ð»Ð»ºÏ×÷ 2012-07-26 10:35:41
³ÕÒÄ×ÓÆ¤: ½ð±Ò-1, רҵ°æÃ棬ÇëÎð¹àË®£¬Ð»Ð»ºÏ×÷ 2012-07-26 10:35:41

0623305313Â¥
2012-07-26 10:31
»Ø¸´
chinashilei(½ð±Ò+1): лл²ÎÓë
³ÕÒÄ×ÓÆ¤: ½ð±Ò-1, רҵ°æÃ棬ÇëÎð¹àË®£¬Ð»Ð»ºÏ×÷ 2012-07-26 10:35:48
³ÕÒÄ×ÓÆ¤: ½ð±Ò-1, רҵ°æÃ棬ÇëÎð¹àË®£¬Ð»Ð»ºÏ×÷ 2012-07-26 10:35:48
101020507514Â¥
2012-07-26 10:43
»Ø¸´
chinashilei(½ð±Ò+1): лл²ÎÓë
³ÕÒÄ×ÓÆ¤: ½ð±Ò-1, רҵ°æÃ棬ÇëÎð¹àË®£¬Ð»Ð»ºÏ×÷ 2012-07-26 11:35:52
³ÕÒÄ×ÓÆ¤: ½ð±Ò-1, רҵ°æÃ棬ÇëÎð¹àË®£¬Ð»Ð»ºÏ×÷ 2012-07-26 11:35:52
JimWolverine16Â¥
2012-07-26 10:48
»Ø¸´
chinashilei(½ð±Ò+1): лл²ÎÓë
³ÕÒÄ×ÓÆ¤: ½ð±Ò-1, רҵ°æÃ棬ÇëÎð¹àË®£¬Ð»Ð»ºÏ×÷ 2012-07-26 11:36:01
³ÕÒÄ×ÓÆ¤: ½ð±Ò-1, רҵ°æÃ棬ÇëÎð¹àË®£¬Ð»Ð»ºÏ×÷ 2012-07-26 11:36:01
qingheyouyou17Â¥
2012-07-26 10:50
»Ø¸´
chinashilei(½ð±Ò+1): лл²ÎÓë
³ÕÒÄ×ÓÆ¤: ½ð±Ò-1, רҵ°æÃ棬ÇëÎð¹àË®£¬Ð»Ð»ºÏ×÷ 2012-07-26 11:36:10
³ÕÒÄ×ÓÆ¤: ½ð±Ò-1, רҵ°æÃ棬ÇëÎð¹àË®£¬Ð»Ð»ºÏ×÷ 2012-07-26 11:36:10
¼ûÖ¤201119Â¥
2012-07-26 10:58
»Ø¸´
chinashilei(½ð±Ò+1): лл²ÎÓë
³ÕÒÄ×ÓÆ¤: ½ð±Ò-1, רҵ°æÃ棬ÇëÎð¹àË®£¬Ð»Ð»ºÏ×÷ 2012-07-26 11:36:18
³ÕÒÄ×ÓÆ¤: ½ð±Ò-1, רҵ°æÃ棬ÇëÎð¹àË®£¬Ð»Ð»ºÏ×÷ 2012-07-26 11:36:18


¸ß°²ÀîÃô20Â¥
2012-07-26 10:58
»Ø¸´
chinashilei(½ð±Ò+1): лл²ÎÓë
³ÕÒÄ×ÓÆ¤: ½ð±Ò-1, רҵ°æÃ棬ÇëÎð¹àË®£¬Ð»Ð»ºÏ×÷ 2012-07-26 11:36:24
³ÕÒÄ×ÓÆ¤: ½ð±Ò-1, רҵ°æÃ棬ÇëÎð¹àË®£¬Ð»Ð»ºÏ×÷ 2012-07-26 11:36:24
104688987721Â¥
2012-07-26 10:59
»Ø¸´
chinashilei(½ð±Ò+1): лл²ÎÓë
³ÕÒÄ×ÓÆ¤: ½ð±Ò-1, רҵ°æÃ棬ÇëÎð¹àË®£¬Ð»Ð»ºÏ×÷ 2012-07-26 11:36:37
³ÕÒÄ×ÓÆ¤: ½ð±Ò-1, רҵ°æÃ棬ÇëÎð¹àË®£¬Ð»Ð»ºÏ×÷ 2012-07-26 11:36:37
abczhang22Â¥
2012-07-26 11:01
»Ø¸´
chinashilei(½ð±Ò+1): лл²ÎÓë
³ÕÒÄ×ÓÆ¤: ½ð±Ò-1, רҵ°æÃ棬ÇëÎð¹àË®£¬Ð»Ð»ºÏ×÷ 2012-07-26 11:36:43
³ÕÒÄ×ÓÆ¤: ½ð±Ò-1, רҵ°æÃ棬ÇëÎð¹àË®£¬Ð»Ð»ºÏ×÷ 2012-07-26 11:36:43
yanwei308623Â¥
2012-07-26 11:45
»Ø¸´
chinashilei(½ð±Ò+1): лл²ÎÓë
³ÕÒÄ×ÓÆ¤: ½ð±Ò-1, רҵ°æÃ棬ÇëÎð¹àË®£¬Ð»Ð»ºÏ×÷ 2012-07-26 12:26:55
³ÕÒÄ×ÓÆ¤: ½ð±Ò-1, רҵ°æÃ棬ÇëÎð¹àË®£¬Ð»Ð»ºÏ×÷ 2012-07-26 12:26:55

dreamcn24Â¥
2012-07-26 11:57
»Ø¸´
chinashilei(½ð±Ò+1): лл²ÎÓë
ËÍÏÊ»¨Ò»¶ä
ËÍÏÊ»¨Ò»¶ä
wx198391727Â¥
2012-07-26 14:41
»Ø¸´
chinashilei(½ð±Ò+1): лл²ÎÓë
³ÕÒÄ×ÓÆ¤: ½ð±Ò-1, רҵ°æÃ棬ÇëÎð¹àË®£¬Ð»Ð»ºÏ×÷ 2012-07-26 16:39:16
³ÕÒÄ×ÓÆ¤: ½ð±Ò-1, רҵ°æÃ棬ÇëÎð¹àË®£¬Ð»Ð»ºÏ×÷ 2012-07-26 16:39:16
cpuhmh30Â¥
2012-07-26 16:45
»Ø¸´
chinashilei(½ð±Ò+1): лл²ÎÓë
³ÕÒÄ×ÓÆ¤: ½ð±Ò-1, רҵ°æÃ棬ÇëÎð¹àË®£¬Ð»Ð»ºÏ×÷ 2012-07-26 17:06:34
³ÕÒÄ×ÓÆ¤: ½ð±Ò-1, רҵ°æÃ棬ÇëÎð¹àË®£¬Ð»Ð»ºÏ×÷ 2012-07-26 17:06:34
fangnihao33Â¥
2012-07-26 16:53
»Ø¸´
liulongcheng40Â¥
2012-08-06 10:05
»Ø¸´



Áú¶ùÎÞË«43Â¥
2012-09-10 14:19
»Ø¸´
lpydz45Â¥
2012-09-10 21:45
»Ø¸´













»Ø¸´´ËÂ¥