| 查看: 874 | 回复: 6 | ||
[交流]
大家帮忙看看是否具有超顺磁性-补充前帖已有5人参与
|
» 本主题相关价值贴推荐,对您同样有帮助:
请大神们帮忙忙看看这个如何划分网格
已经有3人回复
帮忙看看这5种植物具体叫什么名!
已经有8人回复
大家帮忙看看提取土壤DNA
已经有10人回复
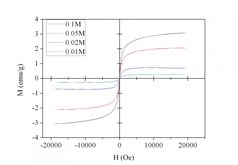
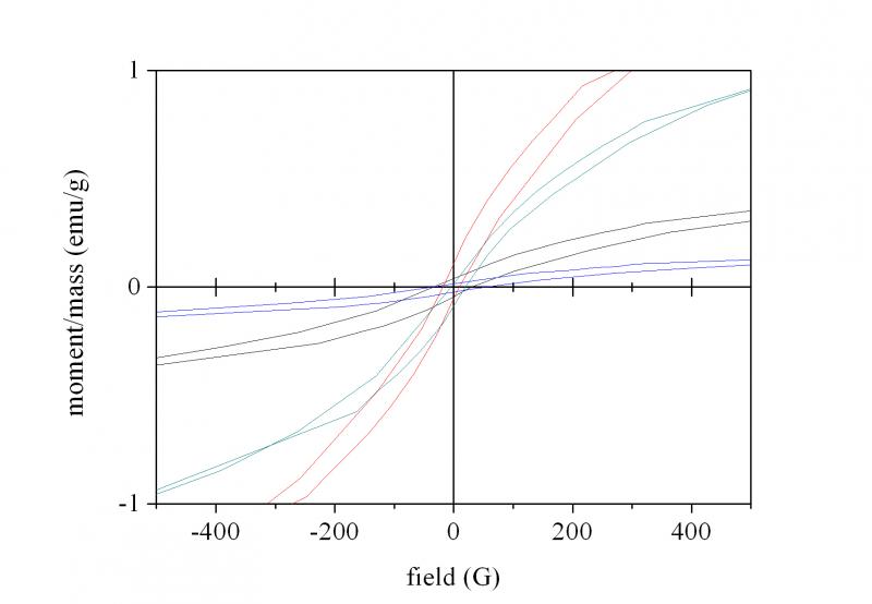
帮忙看看能否判断是否具有超顺磁性
已经有8人回复
大家帮忙看看,这样的参考文献是否会太旧?
已经有9人回复
超顺磁物质有没有饱和磁化强度?
已经有9人回复
请问VSM磁滞回线的超顺磁性问题?高手帮帮忙解答····
已经有15人回复
十万火急!!!在超顺磁性Fe3O4上负载纳米金的方法有哪些?
已经有23人回复
【请教】超顺磁性氧化铁
已经有17人回复
【请教】超顺磁材料的饱和磁化强度与什么有关
已经有15人回复
最近写文章,遇到一个名词,不会翻译。超顺磁性的截止温度TB翻译成英文是什么?
已经有6人回复
【请教】超顺磁纳米粒子的磁性
已经有3人回复
【请教】超顺磁性Fe3O4是否可以被磁铁吸引
已经有28人回复
sciencemaji
至尊木虫 (文坛精英)
- 应助: 231 (大学生)
- 金币: 21400.6
- 散金: 1168
- 红花: 60
- 沙发: 1208
- 帖子: 17913
- 在线: 1542小时
- 虫号: 874127
- 注册: 2009-10-16
- 性别: GG
- 专业: 老年医学
2楼2012-07-19 17:07:25
ckm840529
铁杆木虫 (著名写手)
I love science!
- MN-EPI: 2
- 应助: 38 (小学生)
- 贵宾: 0.14
- 金币: 9707.3
- 散金: 275
- 红花: 13
- 帖子: 1828
- 在线: 413小时
- 虫号: 231086
- 注册: 2006-03-27
- 性别: GG
- 专业: 功能与智能高分子

3楼2012-07-19 17:19:44
wbcui
至尊木虫 (知名作家)
- 应助: 221 (大学生)
- 贵宾: 0.349
- 金币: 16296.6
- 散金: 359
- 红花: 73
- 帖子: 8321
- 在线: 919小时
- 虫号: 543804
- 注册: 2008-04-11
- 专业: 金属功能材料
4楼2012-07-19 20:25:34
renormalize
木虫之王 (文坛精英)
小木虫反面典型
- 应助: 1 (幼儿园)
- 贵宾: 17.4
- 金币: 101688
- 散金: 202
- 红花: 41
- 沙发: 265
- 帖子: 10312
- 在线: 1413.4小时
- 虫号: 455387
- 注册: 2007-11-10
- 性别: GG
- 专业: 基础物理学

5楼2012-07-19 22:34:08
renormalize
木虫之王 (文坛精英)
小木虫反面典型
- 应助: 1 (幼儿园)
- 贵宾: 17.4
- 金币: 101688
- 散金: 202
- 红花: 41
- 沙发: 265
- 帖子: 10312
- 在线: 1413.4小时
- 虫号: 455387
- 注册: 2007-11-10
- 性别: GG
- 专业: 基础物理学

6楼2012-07-19 22:35:09
7楼2012-07-21 15:31:32













回复此楼
