| 查看: 1460 | 回复: 10 | |||
gs549319木虫 (小有名气)
|
[求助]
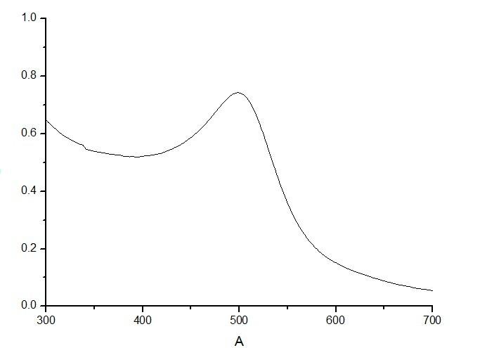
为什么做出的金纳米的紫外吸收在499?
|
||
|
|
|||
lulufan专家顾问 (知名作家)
|
|||
|
2楼2012-06-16 08:22:32
|
|
||
江山无棱木虫 (小有名气)
|
|||
|
3楼2012-06-16 10:40:26
|
|
||
gs549319木虫 (小有名气)
|
|||
|
4楼2012-06-16 11:17:30
|
|
||
江山无棱木虫 (小有名气)
|
|||
|
5楼2012-06-16 18:30:54
|
|
||
飘蓬子木虫 (小有名气)
|
|||
![]() |
|||
|
6楼2012-06-16 20:49:16
|
|
||
yuan999专家顾问 (知名作家)
|
|||
![]() |
|||
|
7楼2012-06-17 06:51:11
|
|
||
zhouxil金虫 (小有名气)
|
|||
|
8楼2012-06-17 09:32:45
|
|
||
konghuan33铜虫 (初入文坛)
|
|||
![]() |
|||
|
9楼2012-06-18 12:11:50
|
|
||
鲤鱼lee木虫 (正式写手)
|
|||
|
10楼2012-07-12 15:10:06
|
|













回复此楼

