| ²é¿´: 868 | »Ø¸´: 4 | |||
abachelor½ð³æ (СÓÐÃûÆø)
|
[ÇóÖú]
¹Ì¶¨´²´«ÖʺâËã
|
|
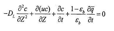
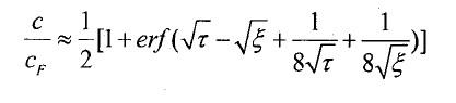
¶Ô¹Ì¶¨´²ÁÐÎïÁϺâËãʽ ºöÂÔÖáÏò·´»ìÁ÷Ëٺ㶨²¢²ÉÓÃÏßÐÔÍÆ¶¯Á¦·½³Ì£¬¿ÉÒԵõ½½âÎö½âÈçÏÂʽ ²¢¸ù¾Ý¸Ã·½³Ì¿ÉÒÔÄâºÏ³öÇúÏß Õâ¸ö¹ý³ÌСµÜ²»ÖªµÀÊÇÔõô×ö³öÀ´µÄ£¬ÄÜ·ñÓÐÃ÷°×µÄºÃÐÄÈ˰ïÎÒ½²½âһϣ¬ |
» ÊÕ¼±¾ÌûµÄÌÔÌûר¼ÍƼö
¿ÆÑи¨Öú-ßÇßÇСÄÐÈË |
» ²ÂÄãϲ»¶
±±¾©ÄÉÃ×ÄÜÔ´ÓëϵͳÑо¿ËùÍõÖÐÁÖԺʿ/²ÜÄÏÓ±Ñо¿Ô±¿ÎÌâ×éÕÐÊÕ2026˶ʿÑо¿Éú1Ãû
ÒѾÓÐ0È˻ظ´
ɽÎ÷´óͬ´óѧÎïÀíѧ˶ʿÑо¿ÉúÕÐÊÕµ÷¼ÁÉú
ÒѾÓÐ0È˻ظ´
ÎïÀíѧIÂÛÎÄÈóÉ«/·ÒëÔõôÊÕ·Ñ?
ÒѾÓÐ238È˻ظ´
[µ÷¼ÁÐÅÏ¢]211ÖÇÄÜÈ˹¤¸ÐÖª·½Ïò¹ú¼ÒÇàÄêÌØÆ¸×¨¼Ò¿ÎÌâ×éÕÐÊÕµ÷¼ÁÑо¿Éú
ÒѾÓÐ0È˻ظ´
£Ûµ÷¼ÁÐÅÏ¢£Ý211ÖÇÄÜÈ˹¤¸ÐÖª·½Ïò¹ú¼ÒÇàÄêÌØÆ¸×¨¼Ò¿ÎÌâ×éÕÐÊÕµ÷¼ÁÑо¿Éú
ÒѾÓÐ0È˻ظ´
[µ÷¼ÁÐÅÏ¢]211ÖÇÄÜÈ˹¤¸ÐÖª·½Ïò¹ú¼ÒÇàÄêÌØÆ¸×¨¼Ò¿ÎÌâ×éÕÐÊÕµ÷¼ÁÑо¿Éú
ÒѾÓÐ0È˻ظ´
Ò»Ö¾Ô¸ÎïÀíËùÄý¾Û̬ÎïÀí352Çóµ÷¼Á
ÒѾÓÐ0È˻ظ´
0702Ò»Ö¾Ô¸¼ª´óBÇøÇóµ÷¼Á ±¾¿ÆÆÚ¼ä·¢±íһƪSci
ÒѾÓÐ2È˻ظ´
0702Ò»Ö¾Ô¸¼ª´óBÇøÇóµ÷¼Á ±¾¿ÆÆÚ¼ä·¢±íһƪSci
ÒѾÓÐ0È˻ظ´
070200Çóµ÷¼Á£¬Ò»Ö¾Ô¸Ä³211£¬288·Ö
ÒѾÓÐ17È˻ظ´
» ±¾Ö÷ÌâÏà¹Ø¼ÛÖµÌùÍÆ¼ö£¬¶ÔÄúͬÑùÓаïÖú:
ÎÒ¶ÔÌû×Ó¡°Í¨¹ý»áÆÀ£¬±»Æ½ºâµôÁË¡±µÄÒ»¸ö»ØÌû¡£
ÒѾÓÐ27È˻ظ´
¸õ±ê×¼ÇúÏß¼ÆËãÆ½ºâŨ¶È
ÒѾÓÐ5È˻ظ´
Æø¹ÌÁ½Ïà¹Ì¶¨´²´ß»¯Ñõ»¯·´Ó¦µÄ´«ÖÊ´«ÈÈÄ£Äâ
ÒѾÓÐ3È˻ظ´
ʲôÊÇ¡°¶àÄÏÆ½ºâ¡±Ñ½
ÒѾÓÐ7È˻ظ´
ASPEN »Ø¹éº¬ÑÎÆûÒºÏàÆ½ºâÊý¾Ý
ÒѾÓÐ7È˻ظ´
¡¾ÇóÖú¡¿ÈçºÎÓøß˹Ë㻯ѧ·´Ó¦Æ½ºâ³£Êý?
ÒѾÓÐ8È˻ظ´
Nonebull
ľ³æ (ÕýʽдÊÖ)
- Ó¦Öú: 13 (СѧÉú)
- ½ð±Ò: 5663.1
- ºì»¨: 6
- Ìû×Ó: 463
- ÔÚÏß: 306.9Сʱ
- ³æºÅ: 571775
- ×¢²á: 2008-06-10
- רҵ: »¯Ñ§¹¤³Ì¼°¹¤Òµ»¯Ñ§
¡¾´ð°¸¡¿Ó¦Öú»ØÌû
¡ï ¡ï ¡ï ¡ï ¡ï ¡ï ¡ï ¡ï ¡ï ¡ï ¡ï ¡ï
¸Ðл²ÎÓ룬ӦÖúÖ¸Êý +1
cenwanglai: ½ð±Ò+2, лл»Ø¸´~ 2012-06-16 09:30:16
abachelor: ½ð±Ò+10, ¡ï¡ï¡ïºÜÓаïÖú 2012-06-16 16:34:00
¸Ðл²ÎÓ룬ӦÖúÖ¸Êý +1
cenwanglai: ½ð±Ò+2, лл»Ø¸´~ 2012-06-16 09:30:16
abachelor: ½ð±Ò+10, ¡ï¡ï¡ïºÜÓаïÖú 2012-06-16 16:34:00
| ÎÒÒ²²»ÖªµÀÔõô½â£¬²»¹ýÄãÉÙÁ˼¸¸ö·½³Ì£¬ÏßÐÔ¶¯Á¦·½³Ì dq/dt=ka(c-c*)£¬ÖáÏò·µ»ìÓ¦¸ÃÊÇʲô·½³ÌÎÒ²»ÖªµÀ ½âÎö½â±È½ÏÄÑÇó ÎÞÁ¿¸Ù»¯²ÎÊýÄãÄÜÁгö±í´ïʽÂ𣿠|
2Â¥2012-06-16 01:38:27
lcb411
½ð³æ (СÓÐÃûÆø)
- Ó¦Öú: 8 (Ó×¶ùÔ°)
- ½ð±Ò: 1929.7
- É¢½ð: 30
- ºì»¨: 1
- Ìû×Ó: 220
- ÔÚÏß: 149.4Сʱ
- ³æºÅ: 150882
- ×¢²á: 2005-12-29
- ÐÔ±ð: GG
- רҵ: »·¾³»¯¹¤
¡ï
cenwanglai: ½ð±Ò+1, лл²ÎÓë~ 2012-06-16 09:30:34
cenwanglai: ½ð±Ò+1, лл²ÎÓë~ 2012-06-16 09:30:34
|
Õâ¸ö·½Ò²À§ÈÅÎҺܾã¬ÔÚ¿´¡¶Àë×Ó½»»»¹¤³Ì¡·½éÉÜÁ˹̶¨´²»îÈûÁ÷£¨¼´ÎÞ·µ»ì£©Çé¿öÏÂÊ÷Ö¬¸ºÔØÏà¹ØµÄ½â·¨£¬µ«ÊÇûÓеõ½Â¥Ö÷Ëù˵µÄ½âÎö½â¡£ Â¥ÉÏÓ¦¸ÃÊÇÎü¸½Ïà¹ØµÄ°É£¬¹À¼ÆÏÈÒª±äÁ¿´ú»»£¬ÔÚͨ¹ýL±ä»»²ÅÄܵõ½¡£ |
3Â¥2012-06-16 08:35:27
abachelor
½ð³æ (СÓÐÃûÆø)
- Ó¦Öú: 2 (Ó×¶ùÔ°)
- ½ð±Ò: 3091
- Ìû×Ó: 117
- ÔÚÏß: 124Сʱ
- ³æºÅ: 817826
- ×¢²á: 2009-07-29
- רҵ: »¯¹¤
4Â¥2012-06-16 16:33:35
abachelor
½ð³æ (СÓÐÃûÆø)
- Ó¦Öú: 2 (Ó×¶ùÔ°)
- ½ð±Ò: 3091
- Ìû×Ó: 117
- ÔÚÏß: 124Сʱ
- ³æºÅ: 817826
- ×¢²á: 2009-07-29
- רҵ: »¯¹¤
|
¶Ô£¬ÎÒÊÇÓйØ×öÎü¸½·ÖÀë·½ÃæÄÚÈݵģ¬Ê÷Ö¬¸ºÔصÄÃ²ËÆÁÐÎïÁÏÆ½ºâʱ»¹Òª¶àÒ»¸öºâËãʽ£¬±ÈÒ»°ãµÄÌ¿²ÄÁϺͷÖ×Óɸ²ÄÁϺÃÏñ»¹¶àÒ»¸ö£¬Òò´ËÐÎʽÉÏÓÐËùÇø±ð£¬ÕýÊÇÓÐһЩ±ä»»»òÕßÀí½âÉϵÄÎÊÌ⣬ËùÒÔ¶Ô´Ë·½³ÌÎÒ»¹ÊǽÏÄÑÀí½â͸³¹£¬ÎÒÃÇÒ²¿ÉÒÔÌÖÂÛһϠ|
5Â¥2012-06-16 16:36:54














»Ø¸´´ËÂ¥