| 查看: 406 | 回复: 1 | ||
[求助]
mean shift论文里的一个公式的推导
|
|
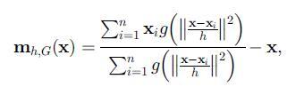
请看下面四幅截图,我想问的是从第1,2个图的公式怎么推导图4里的公式的。 我老是困惑第一幅图里的公式感觉所有的y(j+1)都是相同的值啊。。。没看明白这样变形啥意思。请写一下y1,y2,y3这样我就能看懂了,谢谢 ![]() 第三幅图里的公式是什么意思,我又不明白了。y(j)到底是什么意思呢,他这个公式是不是就是相当于j = y(j)。。 |
» 猜你喜欢
天津大学招2026.09的博士生,欢迎大家推荐交流(博导是本人)
已经有11人回复
表哥与省会女结婚,父母去帮带孩子被省会女气回家生重病了
已经有9人回复
AI 太可怕了,写基金时,提出想法,直接生成的文字比自己想得深远,还有科学性
已经有10人回复
同年申请2项不同项目,第1个项目里不写第2个项目的信息,可以吗
已经有10人回复
依托企业入选了国家启明计划青年人才。有无高校可以引进的。
已经有11人回复
依托企业入选了国家启明计划青年人才。有无高校可以引进的。
已经有11人回复
» 本主题相关价值贴推荐,对您同样有帮助:
公式编辑器编写的符号在英文论文中要不要前后加空格?
已经有9人回复
冷却平台公式推导
已经有9人回复
物理化学公式推导过程如何讲呢
已经有5人回复
各位大虾,论文退修,语句、错别字修改,修改说明里要不要一个一个指出来
已经有9人回复
维恩公式推导
已经有3人回复
optics express编辑让修改文章中的一个公式
已经有4人回复
论文公式推导必备册子《The Matrix Cookbook》【已搜索无重复】
已经有43人回复
论文里面的公式引用问题
已经有11人回复
自己的后续文章引用自己的在审的文章中的句子或公式,需要标明引用吗?
已经有10人回复
请教一下在PPT中的SHIFT键的使用方法的汇总,谢谢大家:)
已经有2人回复
论文中的公式问题!
已经有4人回复
IOP在线投稿转pdf文件后公式里为什么出现方块?
已经有10人回复
【求助】推导公式为什么把e、h当做1看待
已经有5人回复
【求助】这个怪异公式是如何推导出来的?
已经有9人回复

youth0826
至尊木虫 (著名写手)
weibo.com/138147022
- 应助: 172 (高中生)
- 金币: 10458.4
- 散金: 145
- 红花: 4
- 帖子: 1726
- 在线: 149.4小时
- 虫号: 707170
- 注册: 2009-02-23
- 专业: 模式识别

2楼2012-06-11 23:23:18














回复此楼