| 查看: 661 | 回复: 5 | |
[求助]
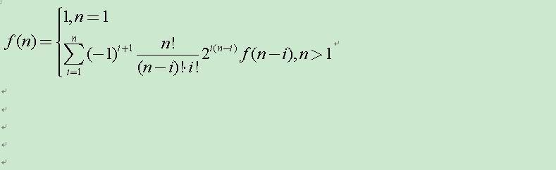
[求助] 各位老师,请教一个函数嵌套问题
|
|
|
|
|
|
2楼2012-06-07 21:07:19
|
|
|
3楼2012-06-07 22:00:35
|
|
|
4楼2012-06-10 14:30:59
|
|
|
5楼2012-06-11 21:44:28
|
|
|
6楼2012-06-11 21:50:21
|
|













回复此楼
能不能给指点迷津
微笑的刺猬
20