24小时热门版块排行榜    

Znn3bq.jpeg
查看: 1677  |  回复: 0

supercooling

铁杆木虫 (著名写手)

[求助] 求XRD算锐钛矿TiO2晶体暴露面比例!!

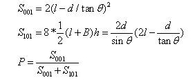
小弟是研究TiO2晶面暴露的,但是遇到一难题,就是如何计算晶面暴露比例.看了很多文献,知道可以根据XRD数据来算暴露面比例公式,通过谢乐公式可算出[001]方向厚度d,但是其中有些不解,文献中说跟据半峰宽算[100]方向平均边长L,但是具体公式我还没找到,所以忘大侠们进行指点,最好列出具体公式和详细说明!



回复此楼
已阅   关注TA 给TA发消息 送TA红花 TA的回帖

智能机器人

Robot (super robot)

我们都爱小木虫

相关版块跳转 我要订阅楼主 supercooling 的主题更新
最具人气热帖推荐 [查看全部] 作者 回/看 最后发表
[考博] 如果工作了想读博,可以边工作边读全日制嘛? 30+3 铁达火车 2026-05-18 5/250 2026-05-20 09:33 by tfang
[有机交流] 如何实现卤原子转化 +3 BT20230424 2026-05-15 8/400 2026-05-20 09:32 by xtlilibin
[基金申请] 河北省自然科学基金 +3 Peterchao 2026-05-18 3/150 2026-05-20 08:57 by 霸_霸
[基金申请] 评审有感 +11 popular289 2026-05-18 20/1000 2026-05-20 08:55 by gy116024
[基金申请] 今年审到国自然15份,谈谈感受 +17 国自然国社科中 2026-05-17 18/900 2026-05-20 00:03 by kksky
[基金申请] 2026山东省优青 +3 luckinging 2026-05-14 4/200 2026-05-19 16:15 by 52wls
[论文投稿] Sci. Bull. 悲剧经验 +4 jyang1999 2026-05-16 4/200 2026-05-19 10:56 by maolC
[考博] 找博士生导师 +6 小代想上岸 2026-05-15 7/350 2026-05-19 10:22 by free_fisher
[考博] 26/27申博自荐-锂/钠电池方向 5+3 狗头军师. 2026-05-15 4/200 2026-05-19 09:10 by moonboat
[基金申请] 同样的基金本子,换个专家直接从C变A! +3 国自然国社科中 2026-05-19 3/150 2026-05-19 08:50 by Equinoxhua
[考博] 2026博士还有哪些学校有名额 +7 小王求读研 2026-05-15 8/400 2026-05-19 08:27 by zhyzzh
[基金申请] 国自然上会要求 +5 无名者登山 2026-05-18 9/450 2026-05-18 17:50 by BlakeReary
[基金申请] 青C资助名额大幅增加! +12 西葫芦炒鸡蛋 2026-05-13 16/800 2026-05-18 10:02 by Equinoxhua
[基金申请] 重磅!青年科学基金项目(C类)资助增幅预计超过50% +7 水和泥不是水泥 2026-05-13 10/500 2026-05-18 07:50 by 水和泥不是水泥
[文学芳草园] 半夜喝咖啡 +3 myrtle 2026-05-15 5/250 2026-05-18 01:03 by 小沈2018
[考博] 光量子物理方向 博士招生 1人(2026.09) +3 sandyworld 2026-05-15 4/200 2026-05-17 14:38 by sandyworld
[有机交流] 求助2,4-二氯-5-嘧啶甲醛的合成方法 20+3 光吃不拉 2026-05-14 6/300 2026-05-16 19:46 by Equinoxhua
[有机交流] 求有机合成大神指点三硫酸乙烯酯(CAS:2793408-99-6)的合成路线 30+3 Leekmid 2026-05-13 10/500 2026-05-16 16:37 by czyzsu
[硕博家园] 申请博士 +3 呃?呃 2026-05-15 3/150 2026-05-16 11:01 by a4742549
[考博] 26应届毕业生考博求助 +3 wo一定上岸 2026-05-13 3/150 2026-05-14 21:47 by 明海天涯
信息提示
请填处理意见