| 查看: 805 | 回复: 1 | |||
begtostudy金虫 (正式写手)
Dr. 白途思
|
[交流]
请教一下matlab求多项式基用那个函数? 已有1人参与
|
|
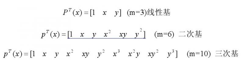
想给定一个向量计算多项式基向量 比如二次基,给定【1 2】 算出一个向量。 matlab有没有求这种多项式基的函数? [ 来自科研家族 SIMULINK家族 ] |
» 猜你喜欢
086502化学工程342求调剂
已经有4人回复
材料求调剂一志愿哈工大324
已经有7人回复
328求调剂
已经有7人回复
340求调剂
已经有5人回复
一志愿南昌大学324求调剂
已经有4人回复
求调剂推荐 材料 304
已经有15人回复
291求调剂
已经有19人回复
331环境科学与工程求调剂
已经有3人回复
289求调剂
已经有8人回复
315分求调剂
已经有7人回复
» 本主题相关价值贴推荐,对您同样有帮助:
泰勒公式的问题!多项式怎么敢逼近一个函数 ,多项式与函数的关系
已经有7人回复
请教下:如何求一个函数在一定范围内的全部解
已经有10人回复
matlab的函数调用问题
已经有3人回复
MATLAB中产生高斯白噪声,涉及到awgn和wgn函数
已经有3人回复
求帮忙啊~ matlab一多项式结果太长,怎么写到txt里?
已经有14人回复
请教个matlab中的rand函数
已经有3人回复
用matlab对多项式函数求导
已经有1人回复
matlab做函数图象的问题
已经有6人回复
【求助】请教一个matlab程序,谢谢帮忙!!
已经有15人回复
【原创】多项式和非多项式曲线拟合的MATLAB实现视频教程
已经有10人回复
【求助】请教一个隐函数的求导问题
已经有10人回复
2楼2012-06-05 09:12:31














回复此楼