| 查看: 2726 | 回复: 10 | ||
| 当前只显示满足指定条件的回帖,点击这里查看本话题的所有回帖 | ||
Jacob1201木虫 (小有名气)
|
[求助]
关于电化学阻抗等效电路模拟
|
|
|
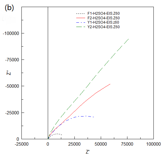
小弟我是材料出身,对电化学测试手段了解很少,但最近正在做一个阻抗谱测试的工作,苦于无法得出理想的等效电路模拟,希望小木虫里的大神能够伸以援手,就我于水火之中。谢谢!!! 附电化学阻抗谱截图及相应数据。 |
» 本帖附件资源列表
-
欢迎监督和反馈:小木虫仅提供交流平台,不对该内容负责。
本内容由用户自主发布,如果其内容涉及到知识产权问题,其责任在于用户本人,如对版权有异议,请联系邮箱:xiaomuchong@tal.com - 附件 1 : F1-H2SO4-EIS.Z60
- 附件 2 : F2-H2SO4-EIS.Z60
- 附件 3 : Y1-H2SO4-EIS.z60
- 附件 4 : Y2-H2SO4-EIS.Z60
2012-05-30 23:34:57, 5.97 K
2012-05-30 23:34:57, 6.31 K
2012-05-30 23:34:57, 5.64 K
2012-05-30 23:34:57, 6.37 K
» 猜你喜欢
锂离子电池循环寿命衰减过快,求机理分析与改进思路
已经有2人回复
求博导收留
已经有6人回复
分析化学论文润色/翻译怎么收费?
已经有178人回复
CSC & MSCA 博洛尼亚大学能源材料课题组博士/博士后招生|MSCA经费充足、排名优
已经有6人回复
德国Karlsruhe Institute of Technology招收电化学储能及联合培养CSC博士等
已经有20人回复
德国Karlsruhe Institute of Technology招收电化学储能及联合培养CSC博士
已经有23人回复
德国Karlsruhe Institute of Technology招收电化学储能及联合培养CSC博士
已经有1人回复
固态锂金属电池迁移数计算求助
已经有1人回复
荷兰奈梅亨大学赵文博与Galimberti课题组招收理论计算CSC博士 2000 欧元/月+房补
已经有0人回复
26储能博士申请自荐
已经有20人回复
上海交通大学--宁波东方理工大学电池方向博士招生
已经有5人回复
» 本主题相关商家推荐: (我也要在这里推广)

11楼2013-08-17 23:25:16
axeleo
铁杆木虫 (正式写手)
- ECEPI: 3
- 应助: 123 (高中生)
- 金币: 7212.3
- 散金: 1776
- 红花: 3
- 帖子: 604
- 在线: 116.5小时
- 虫号: 562008
- 注册: 2008-05-22
- 性别: GG
- 专业: 电化学

2楼2012-05-31 08:58:59
Jacob1201
木虫 (小有名气)
- 应助: 0 (幼儿园)
- 金币: 1438.3
- 散金: 50
- 红花: 2
- 帖子: 221
- 在线: 135小时
- 虫号: 1230251
- 注册: 2011-03-12
- 性别: GG
- 专业: 生物材料

3楼2012-05-31 09:46:56
axeleo
铁杆木虫 (正式写手)
- ECEPI: 3
- 应助: 123 (高中生)
- 金币: 7212.3
- 散金: 1776
- 红花: 3
- 帖子: 604
- 在线: 116.5小时
- 虫号: 562008
- 注册: 2008-05-22
- 性别: GG
- 专业: 电化学

4楼2012-05-31 14:39:21













回复此楼