| ²é¿´: 1085 | »Ø¸´: 2 | ||
zlxxfzmгæ (³õÈëÎÄ̳)
|
[ÇóÖú]
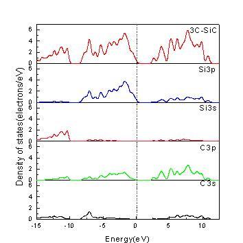
ÈçºÎ»³öÕâÖÖ̬ÃܶÈͼ
|
|
|
|
||
huangycľ³æ (ÕýʽдÊÖ)
|
||
|
2Â¥2012-05-28 21:42:42
|
|
|
snowliuhuan½ð³æ (СÓÐÃûÆø)
|
¡¾´ð°¸¡¿Ó¦Öú»ØÌû
¡ï ¡ï ¡ï ¡ï ¡ï ¡ï ¡ï
¸Ðл²ÎÓ룬ӦÖúÖ¸Êý +1 liliangfang: ½ð±Ò+1, лл½»Á÷ 2012-05-29 09:04:55 fzx2008: ½ð±Ò+1, ллָ½Ì 2012-05-29 12:22:25 zlxxfzm: ½ð±Ò+5 2012-05-29 12:50:38
|
|
![]() |
||
|
3Â¥2012-05-28 22:01:18
|
|














»Ø¸´´ËÂ¥
