版块导航
正在加载中...
客户端APP下载
论文辅导
调剂小程序
登录
注册
帖子
帖子
用户
本版
应《网络安全法》要求,自2017年10月1日起,未进行实名认证将不得使用互联网跟帖服务。为保障您的帐号能够正常使用,请尽快对帐号进行手机号验证,感谢您的理解与支持!
24小时热门版块排行榜
>
论坛更新日志
(1452)
>
基金申请
(59)
>
虫友互识
(51)
>
文献求助
(21)
>
导师招生
(20)
>
硕博家园
(19)
>
考博
(9)
>
论文投稿
(8)
>
教师之家
(7)
>
考研
(5)
>
休闲灌水
(5)
>
博后之家
(4)
>
公派出国
(4)
>
论文道贺祈福
(3)
>
找工作
(3)
>
留学生活
(2)
小木虫论坛-学术科研互动平台
»
计算模拟区
»
计算模拟
»
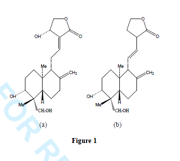
有没有人能帮我计算下 一下两个化合物的Pka
6
1/1
返回列表
查看: 981 | 回复: 5
只看楼主
@他人
存档
新回复提醒
(忽略)
收藏
在APP中查看
qiqiguaia
木虫
(著名写手)
MM
应助: 2
(幼儿园)
金币: 5317
散金: 438
红花: 6
帖子: 2037
在线: 435.1小时
虫号: 854340
注册: 2009-09-22
性别:
MM
专业: 食品科学基础
[
求助
]
有没有人能帮我计算下 一下两个化合物的Pka
万分感谢啊
回复此楼
» 猜你喜欢
深圳大学2026年秋博士招生-物理学-活性胶体方向-高永祥课题组
已经有18人回复
论物质与能量的统一模型及物理现象解释
已经有0人回复
物理学I论文润色/翻译怎么收费?
已经有122人回复
基于基元I统一理论的数学相关应用推导
已经有0人回复
基元I统一理论:宇宙本质、层级演化与修炼文明的本源规律
已经有1人回复
基元I理论下三大核心空间现象精准推导与细节解析
已经有0人回复
基于基元 I 统一理论的反重力理论推导
已经有0人回复
基于基元I统一理论的量子力学本源推导
已经有1人回复
推荐一款可以AI辅助写作的Latex编辑器SmartLatexEditor,超级好用,AI润色,全免费
已经有20人回复
【EI|Scopus 双检索】第六届智能机器人系统国际会议(ISoIRS 2026)
已经有0人回复
2026年第四届电动车与车辆工程国际会议(CEVVE 2026)
已经有0人回复
» 本主题相关价值贴推荐,对您同样有帮助:
如何测定聚合物的pKa值
已经有3人回复
求该化合物准确Pka值
已经有6人回复
关于Pka值的比较 或者 炔的酸性的比较?
已经有11人回复
在哪能查到化合物的溶解度、pKa等理化性质等参数?
已经有13人回复
已知一个化合物的pKa,怎么算其盐酸盐的pKa呢
已经有5人回复
哪里可以查一个化合物的pKa?
已经有3人回复
为什么DFT只能计算原胞内只有最多几百个原子?
已经有26人回复
我想问大家的是,0.22μm有机系尼龙的过滤器是针对什么东西的过滤
已经有3人回复
怎么计算化合物的pKa啊
已经有8人回复
下列化合物中,哪一个具有最小的Pka值
已经有11人回复
计算出deltaG大于0是不是就不可能发生反应?
已经有16人回复
如何确定一个新化合物的PKa值????
已经有5人回复
Grappad 计算EC50,高中低都可得到EC50,但文献只有一个,怎么处理得到?
已经有3人回复
急求苝四羧酸3,4,9, 10-perylene tetracarboxylic acid (PTCA)的pKa值~
已经有13人回复
有机化合物PKa*
已经有4人回复
请问怎么根据化合物的pKa值来选择流动相的PH值
已经有8人回复
看一下溶液中这两种化合物在氢键作用下哪一种形式更稳定,比例是多少?
已经有4人回复
【求助】如何测定一个化合物的pKa值?
已经有9人回复
【求助】SRIM中靶材怎么设成化合物
已经有16人回复
【请教】各位,谁知道3-巯基丙酸的pKa是多少?
已经有14人回复
不求闻达于诸侯,只求游乐于世间
1楼
2012-05-21 22:22:23
已阅
关注TA
给TA发消息
送TA红花
TA的回帖
木_木
顶。。。。
2楼
2012-05-24 22:41:59
已阅
关注TA
给TA发消息
送TA红花
TA的回帖
ChemiAndy
木虫
(正式写手)
计算强帖: 1
应助: 52
(初中生)
金币: 2573.3
散金: 18
红花: 104
帖子: 590
在线: 553.8小时
虫号: 836907
注册: 2009-08-30
性别: GG
专业: 理论和计算化学
★
cenwanglai: 金币+1, 来了哈~
2012-05-26 22:25:01
a/b均为多元醇, 目测pKa约为15. 计算完毕。
参考,乙醇pKa=15.9
赞
一下
(1人)
回复此楼
3楼
2012-05-26 06:29:10
已阅
关注TA
给TA发消息
送TA红花
TA的回帖
qiqiguaia
木虫
(著名写手)
MM
应助: 2
(幼儿园)
金币: 5317
散金: 438
红花: 6
帖子: 2037
在线: 435.1小时
虫号: 854340
注册: 2009-09-22
性别:
MM
专业: 食品科学基础
引用回帖:
3楼
:
Originally posted by
ChemiAndy
at 2012-05-26 06:29:10
a/b均为多元醇, 目测pKa约为15. 计算完毕。
参考,乙醇pKa=15.9
妈呀,你这个准么?我这个要给审稿人呢!!55
赞
一下
回复此楼
不求闻达于诸侯,只求游乐于世间
4楼
2012-05-26 23:07:41
已阅
关注TA
给TA发消息
送TA红花
TA的回帖
point0237
木虫
(正式写手)
应助: 0
(幼儿园)
金币: 2754.2
红花: 1
帖子: 527
在线: 48.4小时
虫号: 1040200
注册: 2010-06-11
专业: 大气化学
专业帮顶
回复此楼
5楼
2012-05-26 23:56:04
已阅
关注TA
给TA发消息
送TA红花
TA的回帖
qiqiguaia
木虫
(著名写手)
MM
应助: 2
(幼儿园)
金币: 5317
散金: 438
红花: 6
帖子: 2037
在线: 435.1小时
虫号: 854340
注册: 2009-09-22
性别:
MM
专业: 食品科学基础
引用回帖:
5楼
:
Originally posted by
point0237
at 2012-05-26 23:56:04
专业帮顶
好吧,
回复此楼
不求闻达于诸侯,只求游乐于世间
6楼
2012-05-27 00:56:42
已阅
关注TA
给TA发消息
送TA红花
TA的回帖
相关版块跳转
第一性原理
量子化学
计算模拟
分子模拟
仿真模拟
程序语言
我要订阅楼主
qiqiguaia
的主题更新
6
1/1
返回列表
信息提示
关闭
请填处理意见
关闭
确定