版块导航
正在加载中...
客户端APP下载
论文辅导
申博辅导
登录
注册
帖子
帖子
用户
本版
应《网络安全法》要求,自2017年10月1日起,未进行实名认证将不得使用互联网跟帖服务。为保障您的帐号能够正常使用,请尽快对帐号进行手机号验证,感谢您的理解与支持!
24小时热门版块排行榜
>
论坛更新日志
(3556)
>
文献求助
(402)
>
导师招生
(261)
>
虫友互识
(206)
>
休闲灌水
(96)
>
硕博家园
(87)
>
考研
(75)
>
论文道贺祈福
(66)
>
考博
(63)
>
博后之家
(59)
>
招聘信息布告栏
(53)
>
论文投稿
(49)
>
公派出国
(44)
>
绿色求助(高悬赏)
(39)
>
基金申请
(39)
>
教师之家
(35)
小木虫论坛-学术科研互动平台
»
专业学科区
»
数学
»
基础数学
»
请问同阶矩阵求逆和求平方根的计算复杂度哪个高,分别是多少?谢谢
11
1/2
返回列表
1
2
下一页
查看: 2049 | 回复: 10
只看楼主
@他人
存档
新回复提醒
(忽略)
收藏
在APP中查看
Krasic
新虫
(初入文坛)
应助: 1
(幼儿园)
金币: 29.3
红花: 1
帖子: 24
在线: 12.5小时
虫号: 1748341
注册: 2012-04-10
专业: 系统科学与系统工程
[
求助
]
请问同阶矩阵求逆和求平方根的计算复杂度哪个高,分别是多少?谢谢
请问同阶矩阵求逆和求平方根的计算复杂度哪个高,分别是多少?谢谢
回复此楼
» 猜你喜欢
退学或坚持读
已经有28人回复
有时候真觉得大城市人没有县城人甚至个体户幸福
已经有7人回复
天津大学招2026.09的博士生,欢迎大家推荐交流(博导是本人)
已经有3人回复
面上项目申报
已经有3人回复
酰胺脱乙酰基
已经有9人回复
CSC & MSCA 博洛尼亚大学能源材料课题组博士/博士后招生|MSCA经费充足、排名优
已经有5人回复
博士延得我,科研能力直往上蹿
已经有7人回复
面上基金申报没有其他的参与者成吗
已经有5人回复
遇见不省心的家人很难过
已经有22人回复
» 本主题相关价值贴推荐,对您同样有帮助:
求CoO的PDF卡片,谢谢。
已经有3人回复
新人请教一个纳米金的合成原料的问题。非常感谢!
已经有9人回复
请问各位大侠开发一个满足下列要求的图形处理软件的时间和价格,谢谢!
已经有3人回复
请问发外文的话,是不是得先选好期刊,再做图,决定格式什么的?谢谢
已经有8人回复
请高手帮忙解答:为什么UV光对反应是促进作用,可见光下却是抑制作用?O(∩_∩)O谢谢
已经有7人回复
急切请教大侠怎么从HOMO和LUMO轨道中看出那个是two-fold degenerate orbital?多谢!
已经有4人回复
请问 有SCI经验的童鞋 稿件状态的问题 多谢!!
已经有4人回复
【活动】我是长沙的,哪能买金属氧化物粉末?谢谢!给个联系方式。
已经有7人回复
【交流】非常感谢xi2004老师,送金币是只表达我的心意,请老师领金币
已经有13人回复
Applied physics A 投稿咨询,多谢!!
已经有4人回复
1楼
2012-05-17 10:58:02
已阅
回复此楼
关注TA
给TA发消息
送TA红花
TA的回帖
回帖支持 ( 显示支持度最高的前 50 名 )
acmuser
银虫
(小有名气)
应助: 22
(小学生)
金币: 324.5
红花: 1
帖子: 74
在线: 22.9小时
虫号: 1582407
注册: 2012-01-18
性别: GG
专业: 计算数学与科学工程计算
引用回帖:
3楼
:
Originally posted by
Krasic
at 2012-05-17 14:35:06:
谢谢racoon01 ,但是我在matlab上用tic,toc实际计算,求逆的时长要大于求平方根,这是为什么呢?
那是因为你用的可能是sqrt,应该用sqrtm,
赞
一下
(1人)
回复此楼
4楼
2012-05-18 01:30:37
已阅
回复此楼
关注TA
给TA发消息
送TA红花
TA的回帖
普通回帖
racoon01
专家顾问
(著名写手)
专家经验: +213
数学EPI: 3
应助: 212
(大学生)
金币: 24355.2
散金: 27
红花: 71
帖子: 2438
在线: 643.2小时
虫号: 1282452
注册: 2011-05-01
专业: 中国近代史、现代史
管辖:
物理
【答案】应助回帖
感谢参与,应助指数 +1
显然是求平方根的计算复杂度高嘛。定量的度量不会,但是欲求矩阵的平方根,需要先求解其本征值问题。而本征值问题的求解又需要求出原始矩阵的逆。
赞
一下
回复此楼
racoon
2楼
2012-05-17 12:27:10
已阅
回复此楼
关注TA
给TA发消息
送TA红花
TA的回帖
Krasic
新虫
(初入文坛)
应助: 1
(幼儿园)
金币: 29.3
红花: 1
帖子: 24
在线: 12.5小时
虫号: 1748341
注册: 2012-04-10
专业: 系统科学与系统工程
引用回帖:
2楼
:
Originally posted by
racoon01
at 2012-05-17 12:27:10:
显然是求平方根的计算复杂度高嘛。定量的度量不会,但是欲求矩阵的平方根,需要先求解其本征值问题。而本征值问题的求解又需要求出原始矩阵的逆。
谢谢racoon01 ,但是我在matlab上用tic,toc实际计算,求逆的时长要大于求平方根,这是为什么呢?
赞
一下
回复此楼
3楼
2012-05-17 14:35:06
已阅
回复此楼
关注TA
给TA发消息
送TA红花
TA的回帖
acmuser
银虫
(小有名气)
应助: 22
(小学生)
金币: 324.5
红花: 1
帖子: 74
在线: 22.9小时
虫号: 1582407
注册: 2012-01-18
性别: GG
专业: 计算数学与科学工程计算
【答案】应助回帖
★ ★ ★
感谢参与,应助指数 +1
Krasic: 金币+3,
★
有帮助
2012-05-20 09:19:27
引用回帖:
4楼
:
Originally posted by
acmuser
at 2012-05-18 01:30:37:
那是因为你用的可能是sqrt,应该用sqrtm,
47/cb/1582407_1337275829_995.jpg
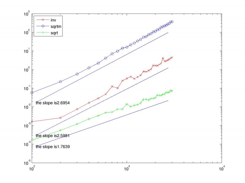
看起来sqrtm和inv的阶数差不多,但是prefactor不一样。
赞
一下
回复此楼
5楼
2012-05-18 01:32:12
已阅
回复此楼
关注TA
给TA发消息
送TA红花
TA的回帖
acmuser
银虫
(小有名气)
应助: 22
(小学生)
金币: 324.5
红花: 1
帖子: 74
在线: 22.9小时
虫号: 1582407
注册: 2012-01-18
性别: GG
专业: 计算数学与科学工程计算
【答案】应助回帖
引用回帖:
4楼
:
Originally posted by
acmuser
at 2012-05-18 01:30:37:
那是因为你用的可能是sqrt,应该用sqrtm,
47/cb/1582407_1337275829_995.jpg
横坐标是矩阵阶数(我用的是rand(n)命令),纵坐标是所用时间。
赞
一下
回复此楼
6楼
2012-05-18 01:33:25
已阅
回复此楼
关注TA
给TA发消息
送TA红花
TA的回帖
Krasic
新虫
(初入文坛)
应助: 1
(幼儿园)
金币: 29.3
红花: 1
帖子: 24
在线: 12.5小时
虫号: 1748341
注册: 2012-04-10
专业: 系统科学与系统工程
引用回帖:
6楼
:
Originally posted by
acmuser
at 2012-05-18 01:33:25:
横坐标是矩阵阶数(我用的是rand(n)命令),纵坐标是所用时间。
1,非常感谢,我是分别用^(-1)和^(-1/2)做的求逆和求平方根。是不想和inv与sqrtm等价?
2,还有,实际上我不关心那么高阶的矩阵,低阶(5-10阶)的时候,求逆和平方根的计算复杂度如何,能不能请你做个图分析一下。
3,能不能给出一个定量的复杂度表达?
再次感谢
赞
一下
回复此楼
7楼
2012-05-20 09:18:42
已阅
回复此楼
关注TA
给TA发消息
送TA红花
TA的回帖
Krasic
新虫
(初入文坛)
应助: 1
(幼儿园)
金币: 29.3
红花: 1
帖子: 24
在线: 12.5小时
虫号: 1748341
注册: 2012-04-10
专业: 系统科学与系统工程
顶起来,请教高手
回复此楼
8楼
2012-05-21 16:32:29
已阅
回复此楼
关注TA
给TA发消息
送TA红花
TA的回帖
acmuser
银虫
(小有名气)
应助: 22
(小学生)
金币: 324.5
红花: 1
帖子: 74
在线: 22.9小时
虫号: 1582407
注册: 2012-01-18
性别: GG
专业: 计算数学与科学工程计算
引用回帖:
7楼
:
Originally posted by
Krasic
at 2012-05-20 09:18:42:
1,非常感谢,我是分别用^(-1)和^(-1/2)做的求逆和求平方根。是不想和inv与sqrtm等价?
2,还有,实际上我不关心那么高阶的矩阵,低阶(5-10阶)的时候,求逆和平方根的计算复杂度如何,能不能请你做个图分析一
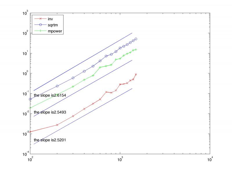
用^(1/2)好像比sqrtm要快一点,
赞
一下
回复此楼
9楼
2012-05-22 04:07:20
已阅
回复此楼
关注TA
给TA发消息
送TA红花
TA的回帖
acmuser
银虫
(小有名气)
应助: 22
(小学生)
金币: 324.5
红花: 1
帖子: 74
在线: 22.9小时
虫号: 1582407
注册: 2012-01-18
性别: GG
专业: 计算数学与科学工程计算
【答案】应助回帖
引用回帖:
7楼
:
Originally posted by
Krasic
at 2012-05-20 09:18:42:
1,非常感谢,我是分别用^(-1)和^(-1/2)做的求逆和求平方根。是不想和inv与sqrtm等价?
2,还有,实际上我不关心那么高阶的矩阵,低阶(5-10阶)的时候,求逆和平方根的计算复杂度如何,能不能请你做个图分析一
这是从阶数1-30的随机矩阵的结果,sqrtm和^(1/2)=mpower(., 0.5) 应该是用的不同的算法。
赞
一下
回复此楼
10楼
2012-05-22 04:18:45
已阅
回复此楼
关注TA
给TA发消息
送TA红花
TA的回帖
相关版块跳转
数理科学综合
机械
物理
数学
农林
食品
地学
能源
信息科学
土木建筑
航空航天
转基因
我要订阅楼主
Krasic
的主题更新
11
1/2
返回列表
1
2
下一页
如果回帖内容含有宣传信息,请如实选中。否则帐号将被全论坛禁言
普通表情
龙
兔
虎
猫
百度网盘
|
360云盘
|
千易网盘
|
华为网盘
在新窗口页面中打开自己喜欢的网盘网站,将文件上传后,然后将下载链接复制到帖子内容中就可以了。
信息提示
关闭
请填处理意见
关闭
确定