24小时热门版块排行榜    

北京石油化工学院2026年研究生招生接收调剂公告
查看: 1012  |  回复: 0

superhugo

木虫 (正式写手)

[求助] 关于河床近底含沙量与单宽体积输沙率

最近看到一组推求近底含沙量的公式,有些不解。系列公式见附件。
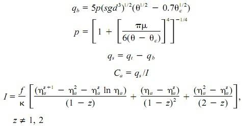
各式含义:
第一个公式中,qb是推移质输沙率,实际上该式就是Engelund(1976)公式,一般s=1.65,即泥沙水下比重,g为重力加速度(m/s^2),d为粒径(m),θ及θc分别为Shields应力及泥沙起动的Shields应力;
第二个公式中,p是无量纲量,表示泥沙运动的或然率,μ为动力摩阻系数,取为1;
第三个公式中,qs是悬移质输沙率,它等于总输沙率减去推移质输沙率,其中,总输沙率通过实测得到;
第四个公式中,Ca为近底浓度(含沙量),表示成qs/I的形式;
第五个公式中,I为形状积分,I中各量含义: f=V*/U,V*为总摩阻剪切流速,U为断面平均流速,故f为无量纲量;k为Karman常数,取0.4;ηa=a/h,a为近底参考高度,h为水深,故ηa为无量纲;z为悬浮指标,也是无量纲的。因此推知,I为无量纲量。
问题:qb的单位经量纲分析为m^2/s,即得到的是单宽体积输沙率,因而得到的qs也为单宽体积输沙率(实际上容易转化为质量输沙率)。由于I是无量纲量,这样不可避免的导致 近底含沙量Ca中存在时间量纲[T],但含沙量应该是没有时间量纲的啊?单位应该是kg/m^3或者体积含沙量单位(m^3/m^3)。
参考文献:
[1]Zhixian Cao. Equilibrium near-bed concentration of suspended sediment [J]. Journal of Hydraulic Engineering, 1999, 125 (12): 1270~1278.
回复此楼

» 猜你喜欢

已阅   回复此楼   关注TA 给TA发消息 送TA红花 TA的回帖
相关版块跳转 我要订阅楼主 superhugo 的主题更新
最具人气热帖推荐 [查看全部] 作者 回/看 最后发表
[考研] 0703化学/290求调剂/本科经历丰富/工科也可 +9 丹青奶盖 2026-03-26 10/500 2026-03-28 07:45 by barnett0632
[考研] 一志愿上海理工能源动力(085800)310分求调剂 +3 zhangmingc 2026-03-27 4/200 2026-03-27 19:01 by 给你你注意休息
[考研] 食品工程专硕一志愿中海洋309求调剂 +3 小张zxy张 2026-03-26 5/250 2026-03-27 18:42 by 小张zxy张
[考研] 085600,材料与化工321分调剂 +4 大馋小子 2026-03-27 6/300 2026-03-27 14:11 by 松花缸1201
[考研] 一志愿华东理工大学081700,初试分数271 +6 kotoko_ik 2026-03-23 7/350 2026-03-27 12:29 by 惠州彭于晏
[考研] 314求调剂 +3 溪云珂 2026-03-26 3/150 2026-03-27 11:20 by sanrepian
[考研] 一志愿吉大071010,316分求调剂 +3 xgbiknn 2026-03-27 3/150 2026-03-27 10:36 by guoweigw
[考研] 求调剂323材料与化工 +7 1124361 2026-03-24 7/350 2026-03-27 10:22 by wangjy2002
[考研] 276求调剂。有半年电池和半年高分子实习经历 +10 材料学257求调剂 2026-03-23 11/550 2026-03-27 10:13 by YCIT- LHL
[考研] 材料调剂 +8 匹克i 2026-03-23 8/400 2026-03-27 08:11 by hypershenger
[考研] 081200-11408-276学硕求调剂 +4 崔wj 2026-03-26 4/200 2026-03-27 08:04 by chemisry
[考研] 一志愿华理,数一英一285求A区调剂 +8 AZMK 2026-03-25 10/500 2026-03-26 22:37 by 学员8dgXkO
[考研] 生物学 296 求调剂 +4 朵朵- 2026-03-26 6/300 2026-03-26 19:01 by 不吃魚的貓
[考研] 生物学学硕,一志愿湖南大学,初试成绩338 +4 YYYYYNNNNN 2026-03-26 4/200 2026-03-26 19:00 by macy2011
[考研] 材料科学与工程 317求调剂 +4 JKSOIID 2026-03-26 4/200 2026-03-26 15:58 by 不吃魚的貓
[考研] 081700 调剂 267分 +11 迷人的哈哈 2026-03-23 11/550 2026-03-26 15:41 by zzll406
[考研] 263求调剂 +6 yqdszhdap- 2026-03-22 10/500 2026-03-26 13:11 by 公瑾逍遥
[考研] 085600 材料与化工 329分求调剂 +9 Mr. Z 2026-03-25 9/450 2026-03-26 10:36 by baoball
[考研] 求调剂 +3 QiMing7 2026-03-25 3/150 2026-03-25 21:13 by 给你你注意休息
[考研] 一志愿东华大学化学070300,求调剂 +7 2117205181 2026-03-21 8/400 2026-03-22 22:55 by chixmc
信息提示
请填处理意见