版块导航
正在加载中...
客户端APP下载
登录
注册
帖子
帖子
用户
本版
应《网络安全法》要求,自2017年10月1日起,未进行实名认证将不得使用互联网跟帖服务。为保障您的帐号能够正常使用,请尽快对帐号进行手机号验证,感谢您的理解与支持!
24小时热门版块排行榜
>
论坛更新日志
(2829)
>
虫友互识
(295)
>
文献求助
(179)
>
导师招生
(140)
>
基金申请
(126)
>
考博
(98)
>
休闲灌水
(49)
>
硕博家园
(48)
>
招聘信息布告栏
(35)
>
攻关文献(高奖励)
(30)
>
博后之家
(27)
>
论文投稿
(27)
>
绿色求助(高悬赏)
(25)
>
仿真模拟
(19)
>
教师之家
(14)
>
考研
(13)
小木虫论坛-学术科研互动平台
»
计算模拟区
»
第一性原理
»
热点前沿问题讨论
»
求助关于磁后效的有关问题,激活能如何确定
4
1/1
返回列表
查看: 539 | 回复: 3
只看楼主
@他人
存档
新回复提醒
(忽略)
收藏
在APP中查看
yxp1985
新虫
(初入文坛)
应助: 0
(幼儿园)
金币: 6
帖子: 4
在线: 29分钟
虫号: 1526841
注册: 2011-12-06
性别: GG
专业: 凝聚态物性 II :电子结构
[
求助
]
求助关于磁后效的有关问题,激活能如何确定
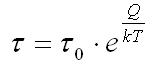
下面图里的公式中各个量都是如何计算的?激活能Q按照第一性原理如何计算。麻烦高手们了~~~
回复此楼
» 猜你喜欢
本人最近太闲了,谁有问题可以提,每天会统一回复
已经有4人回复
评审感受-评审感受-评审感受
已经有14人回复
求助大佬sci投稿哪个好中
已经有3人回复
这年头没有找到涵评专家,还有中面上的可能吗
已经有6人回复
2026博士申请求助
已经有10人回复
西南大学考核制博士
已经有6人回复
窗边初夏的小雨
已经有10人回复
护理论文 晋升
已经有4人回复
求碳排放博导;方向是LCA、生命周期可持续发展以及碳排放
已经有8人回复
26年申博自荐-计算机视觉
已经有5人回复
» 本主题相关价值贴推荐,对您同样有帮助:
求助关于磁控溅射清洗方面的问题~~~急急急
已经有10人回复
【求助】关于利用核磁共振确定手性化合物对映体绝对构型的问题!
已经有5人回复
【求助】请教大家一个问题,关于反铁磁耦合的
已经有14人回复
【求助】请教个关于变温磁性测量的问题!
已经有7人回复
【求助】请教两个问题,一个关于推荐信,一个关于套磁的人选
已经有4人回复
【求助】关于磁性测量中出现的问题
已经有12人回复
【求助】关于核磁的重水溶剂的问题
已经有3人回复
【求助】关于大分子核磁响应问题
已经有19人回复
【求助】关于顺磁性反磁性问题讨教
已经有4人回复
【求助】请教高手关于核磁谱中积分的一个问题
已经有10人回复
加油吧~
1楼
2012-05-15 09:52:55
已阅
回复此楼
关注TA
给TA发消息
送TA红花
TA的回帖
uuv2010
荣誉版主
(职业作家)
1ST强帖: 6
应助: 160
(高中生)
贵宾: 3.14
金币: 3677.7
散金: 5807
红花: 79
沙发: 35
帖子: 4564
在线: 916.6小时
虫号: 966216
注册: 2010-03-09
性别: GG
专业: 凝聚态物性 II :电子结构
管辖:
第一性原理
能否详细解释一下激活能?
赞
一下
回复此楼
2楼
2012-05-15 10:02:21
已阅
回复此楼
关注TA
给TA发消息
送TA红花
TA的回帖
yxp1985
新虫
(初入文坛)
应助: 0
(幼儿园)
金币: 6
帖子: 4
在线: 29分钟
虫号: 1526841
注册: 2011-12-06
性别: GG
专业: 凝聚态物性 II :电子结构
引用回帖:
2楼
:
Originally posted by
uuv2010
at 2012-05-15 10:02:21:
能否详细解释一下激活能?
因为我是学测控的,这方面的知识实在是匮乏。我就是想知道激活能的具体求解方法。
赞
一下
回复此楼
加油吧~
3楼
2012-05-15 13:36:11
已阅
回复此楼
关注TA
给TA发消息
送TA红花
TA的回帖
13664168450
新虫
(初入文坛)
应助: 0
(幼儿园)
金币: 12.5
帖子: 2
在线: 1.2小时
虫号: 5387919
注册: 2016-12-22
专业: 金属材料的微观结构
引用回帖:
3楼
:
Originally posted by
yxp1985
at 2012-05-15 13:36:11
因为我是学测控的,这方面的知识实在是匮乏。我就是想知道激活能的具体求解方法。...
楼主还在研究磁后效吗
发自小木虫Android客户端
赞
一下
回复此楼
4楼
2017-12-04 07:00:11
已阅
回复此楼
关注TA
给TA发消息
送TA红花
TA的回帖
相关版块跳转
第一性原理
量子化学
计算模拟
分子模拟
仿真模拟
程序语言
我要订阅楼主
yxp1985
的主题更新
4
1/1
返回列表
如果回帖内容含有宣传信息,请如实选中。否则帐号将被全论坛禁言
普通表情
龙
兔
虎
猫
百度网盘
|
360云盘
|
千易网盘
|
华为网盘
在新窗口页面中打开自己喜欢的网盘网站,将文件上传后,然后将下载链接复制到帖子内容中就可以了。
信息提示
关闭
请填处理意见
关闭
确定