| ²é¿´: 4266 | »Ø¸´: 8 | ||
apollowh½ð³æ (СÓÐÃûÆø)
|
[ÇóÖú]
Óþƾ«·¨²â¿×϶ÂÊ
|
|
ÎÒ×î½ü×öÁ˸öÉúÎïÖ§¼Ü²ÄÁÏ£¬ÏëÓþƾ«·¨²â¿×϶ÂÊ£¬Óöµ½ÁËһЩ¸öÎÊÌ⣬ÔÚ´ËÇë½Ì 1¡¢¹ý³ÌÖоƾ«Ò»Ö±ÔÚ»Ó·¢£¬Îó²î»á²»»áÌ«´ó£¿ 2¡¢ÔÚÕâ¸ö¹ý³ÌÖÐÓÐÒ»²½Ö裬Êǽ«±ÈÖØÆ¿ÖеÄÖ§¼ÜÈ¡³ö£¬±ÈÖØÆ¿Æ¿¿ÚºÜС£¬¶øÇÒ£¬È¡³öµÄ¹ý³ÌÖУ¬²»¿É±ÜÃ⣬¾Æ¾«Óкܶà»Ó·¢£¬µ¼Ö²»×¼£¿ ÕâЩÎÊÌâÈçºÎ½â¾ö£¿ |
» ²ÂÄãϲ»¶
ѧ¿ÆÉúÎï354Çóµ÷¼Á
ÒѾÓÐ0È˻ظ´
´óÁ¬¹¤Òµ´óѧ ÉúÎïÖÊÄÜÔ´Óë²ÄÁÏרҵÕÐÊÕµ÷¼ÁÉú£¬ÓÐÐËȤ¼ÓÁªÏµ£º15732893021
ÒѾÓÐ0È˻ظ´
ÉúÎïÁ¦Ñ§Óë×éÖ¯¹¤³ÌѧÂÛÎÄÈóÉ«/·ÒëÔõôÊÕ·Ñ?
ÒѾÓÐ59È˻ظ´
ÉúÎï¹â×ÓѧÑо¿Ôº/¼¤¹âÉúÃü¿ÆÑ§½ÌÓý²¿ÖصãʵÑéÊÒ Ñо¿Éúµ÷¼Á
ÒѾÓÐ0È˻ظ´
´óÁ¬¹¤Òµ´óѧ ÉúÎïÖÊÄÜÔ´Óë²ÄÁÏרҵÕÐÊÕµ÷¼ÁÉú£¬ÓÐÐËȤ¼ÓÁªÏµ£º15732893021
ÒѾÓÐ0È˻ظ´
Çóµ÷¼Á£¡ÉúÎïÓëҽҩר˶
ÒѾÓÐ5È˻ظ´
´óÁ¬¹¤Òµ´óѧ ÉúÎïÖÊÄÜÔ´Óë²ÄÁÏרҵÕÐÊÕµ÷¼ÁÉú£¬ÓÐÐËȤ¼ÓÁªÏµ£º15732893021
ÒѾÓÐ0È˻ظ´
´óÁ¬¹¤Òµ´óѧ ÉúÎïÖÊÄÜÔ´Óë²ÄÁÏרҵÕÐÊÕµ÷¼ÁÉú£¬ÓÐÐËȤ½«¼òÀú·¢Ë͵½507432328@qq.com
ÒѾÓÐ0È˻ظ´
ÉúÎïѧ308·ÖÇóµ÷¼Á£¨Ò»Ö¾Ô¸»ª¶«Ê¦´ó£©
ÒѾÓÐ7È˻ظ´
´óÁ¬¹¤Òµ´óѧ ÉúÎïÖÊÄÜÔ´Óë²ÄÁÏרҵÕÐÊÕµ÷¼ÁÉú£¬ÓÐÐËȤ½«¼òÀú·¢Ë͵½507432328@qq.com
ÒѾÓÐ0È˻ظ´
ÉúÎïѧ308·ÖÇóµ÷¼Á£¨Ò»Ö¾Ô¸»ª¶«Ê¦´ó£©
ÒѾÓÐ10È˻ظ´
» ±¾Ö÷ÌâÏà¹ØÉ̼ÒÍÆ¼ö: (ÎÒÒ²ÒªÔÚÕâÀïÍÆ¹ã)
» ±¾Ö÷ÌâÏà¹Ø¼ÛÖµÌùÍÆ¼ö£¬¶ÔÄúͬÑùÓаïÖú:
ÇëÎÊÈçºÎ²â²ÄÁÏÃܶÈ
ÒѾÓÐ20È˻ظ´
ÃܶÈСÓÚ1µÄ¶à¿×²ÄÁϵĿ×϶ÂʵIJâÁ¿·½·¨
ÒѾÓÐ8È˻ظ´
ÈçºÎÀûÓÃPhotoshopÇóÍ¿²ãµÄ¿×϶ÂÊ
ÒѾÓÐ6È˻ظ´
¡¾ÇóÖú¡¿Çó¿×϶ÂʺͱȱíÃæ»ýµÄ²âÊÔ·½·¨
ÒѾÓÐ7È˻ظ´
¡¾ÇóÖú¡¿ÇóÖú£¬ÓñÈÖØÆ¿²âʯӢɰµÄ¿×϶ÂÊʵÑé
ÒѾÓÐ6È˻ظ´
¡¾´ð°¸¡¿Ó¦Öú»ØÌû
¡ï ¡ï ¡ï
¸Ðл²ÎÓ룬ӦÖúÖ¸Êý +1
markar: ½ð±Ò+1, ¹ÄÀøÔÚÉúÎï²ÄÁϰ巢Ìû½»Á÷£¡ 2012-05-11 15:04:19
apollowh: ½ð±Ò+2, ¡ïÓаïÖú 2012-05-13 12:22:58
¸Ðл²ÎÓ룬ӦÖúÖ¸Êý +1
markar: ½ð±Ò+1, ¹ÄÀøÔÚÉúÎï²ÄÁϰ巢Ìû½»Á÷£¡ 2012-05-11 15:04:19
apollowh: ½ð±Ò+2, ¡ïÓаïÖú 2012-05-13 12:22:58
» ±¾ÌûÒÑ»ñµÃµÄºì»¨£¨×îÐÂ10¶ä£©

2Â¥2012-05-11 13:51:45
apollowh
½ð³æ (СÓÐÃûÆø)
- Ó¦Öú: 1 (Ó×¶ùÔ°)
- ½ð±Ò: 27.8
- ºì»¨: 1
- Ìû×Ó: 139
- ÔÚÏß: 87.3Сʱ
- ³æºÅ: 920570
- ×¢²á: 2009-12-05
- רҵ: ͼÊé¹Ý¡¢Ç鱨ÓëÎÄÏ×ѧÆäËû
¡ï
lixiangde: ½ð±Ò+1, ¸Ðл»ØÌû½»Á÷ 2012-05-14 11:18:10
lixiangde: ½ð±Ò+1, ¸Ðл»ØÌû½»Á÷ 2012-05-14 11:18:10
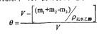
лл£¬ÎÒµÄÖ§¼ÜµÄ±í¹ÛÌå»ý²»ºÃ²â£¬ËùÒÔ£¬ÎÒ²ÅÓõķ½·¨ÊÇ£ºÖ§¼ÜµÄ¸ÉÖØMS ×°Âú¾Æ¾«µÄ±ÈÖØÆ¿M1 ½«Ö§¼Ü·ÅÈë±ÈÖØÆ¿£¬³éÕæ¿Õ£¬Ê¹µÃ¾Æ¾«ÍêÈ«½øÈëÖ§¼ÜÈ»ºó¼ÓÂú¾Æ¾«³ÆÖØ£¬M2 È»ºó½«Ö§¼ÜÈ¡³ö£¬Ê£Óà¾Æ¾«µÄÖÊÁ¿£¬M3 ¿×϶Âʾ͵ÈÓÚ(M2-M1-MS)/(M1-M3) |
» ±¾ÌûÒÑ»ñµÃµÄºì»¨£¨×îÐÂ10¶ä£©
3Â¥2012-05-12 19:21:40
4Â¥2012-06-04 19:33:14
apollowh
½ð³æ (СÓÐÃûÆø)
- Ó¦Öú: 1 (Ó×¶ùÔ°)
- ½ð±Ò: 27.8
- ºì»¨: 1
- Ìû×Ó: 139
- ÔÚÏß: 87.3Сʱ
- ³æºÅ: 920570
- ×¢²á: 2009-12-05
- רҵ: ͼÊé¹Ý¡¢Ç鱨ÓëÎÄÏ×ѧÆäËû
5Â¥2012-06-04 21:49:51
![]() ![]() ![]() ![]() ![]() |
6Â¥2012-06-04 22:12:41
ÇàɽÓеÆ
гæ (СÓÐÃûÆø)
- Ó¦Öú: 0 (Ó×¶ùÔ°)
- ½ð±Ò: 73.7
- Ìû×Ó: 51
- ÔÚÏß: 11.8Сʱ
- ³æºÅ: 4448845
- ×¢²á: 2016-02-29
- רҵ: ¸ß·Ö×Ó¿ÆÑ§
7Â¥2018-07-16 16:42:28
ìŶ¯ÄÐÉú
ľ³æ (ÕýʽдÊÖ)
´ó˧
- Ó¦Öú: 6 (Ó×¶ùÔ°)
- ½ð±Ò: 3871.7
- É¢½ð: 30
- ºì»¨: 3
- Ìû×Ó: 343
- ÔÚÏß: 95.2Сʱ
- ³æºÅ: 1277967
- ×¢²á: 2011-04-26
- ÐÔ±ð: GG
- רҵ: ÉúÎïÒ½Óø߷Ö×Ó²ÄÁÏ

8Â¥2018-07-27 13:20:42
Ëͺ컨һ¶ä |
±¾ÌûÄÚÈݱ»ÆÁ±Î |
9Â¥2021-01-19 09:23:16














»Ø¸´´ËÂ¥
лл£¬ÎÒµÄÖ§¼ÜµÄ±í¹ÛÌå»ý²»ºÃ²â£¬ËùÒÔ£¬ÎÒ²ÅÓõķ½·¨ÊÇ£ºÖ§¼ÜµÄ¸ÉÖØMS ×°Âú¾Æ¾«µÄ±ÈÖØÆ¿M1 ½«Ö§¼Ü·ÅÈë±ÈÖØÆ¿£¬³éÕæ¿Õ£¬Ê¹µÃ¾Æ¾«ÍêÈ«½øÈëÖ§¼ÜÈ»ºó¼ÓÂú¾Æ¾«³ÆÖØ£¬M2 È»ºó½«Ö§¼ÜÈ¡³ö£¬Ê£Óà¾Æ¾«µÄÖÊÁ¿£¬M3 ¿×϶Âʾ͵ÈÓÚ(M2-M1-MS)/(M1-M3) 
