| 查看: 658 | 回复: 0 | ||
chenguog至尊木虫 (初入文坛)
|
[求助]
关于复介电常数
|
|
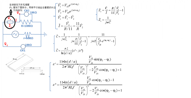
我有一个胶体颗粒的溶液,我想知道它的复介电响应。我现在用的方法是把他装入两端插有铂丝的毛细管中,如图所示。交变信号源来提供信号来源,示波器一记录信号源本身的电压振幅与相位,示波器二记录固定电阻上得到的电压振幅与相位。再用两根平行导线电容公式来计算溶液的复介电常数。请问这种方法是对的么?我这样的计算是否合理?多谢大家。 |
» 猜你喜欢
上海交大材料学院招26年秋“申请-考核制”生物材料方向普博生1名 (截至4月10日)
已经有5人回复
上海交大材料学院招26年秋“申请-考核制”生物材料方向普博生1名 (截至4月10日)
已经有5人回复
有机高分子材料论文润色/翻译怎么收费?
已经有268人回复
上海交大材料学院招26年秋“申请-考核制”生物材料方向普博生1名 (截至4月10日)
已经有5人回复
找到一些相关的精华帖子,希望有用哦~
复介电常数中的j是什么?它的值是多少啊?
已经有10人回复
尼龙基体中添加碳纳米管,介电常数反而降低很多
已经有9人回复
液体复合材料的介电常数测试
已经有7人回复
【讨论】关于电导率与介电常数的关系
已经有7人回复
【求助】关于测介电温谱
已经有16人回复
【求助】关于Dielectric function的计算与实际测量的介电频谱的关系
已经有7人回复
【求助】关于PWSCF介电常数和声子谱的计算
已经有7人回复
【求助】吸波、透波材料的介电常数,磁导率,反射率
已经有11人回复
科研从小木虫开始,人人为我,我为人人













回复此楼
点击这里搜索更多相关资源