| ²é¿´: 1876 | »Ø¸´: 18 | ||
wmm.2008Òø³æ (ÕýʽдÊÖ)
|
[ÇóÖú]
Çë½Ì¸÷λ³æÓÑ£ºÕâ¸öÑùÆ·µÄCCTÇúÏߺϸñô£¿
|
|
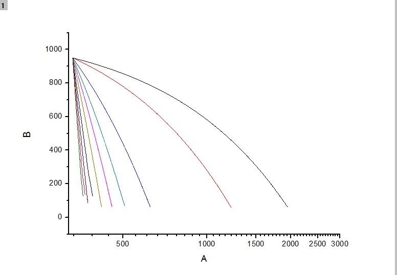
¸÷λ½ðÊô°æµÄ³æÓѺ㺠ÎÒ×òÌì×öÁËÒ»ÈÈÅòÕÍ·ÖÎö²âÊÔ£¨ÑùƷΪÖÐ̼ÖкϽ𹤾߸ÖÁ¬ÖýÅ÷£©£¬ÔÚÕÒÏà±äµãʱ£¬¸Ð¾õ²»´ó¶ÔÍ·£¬ÈçÏÂͼËùʾ£¡ ÇëÎÊ£º¸ù¾ÝÄãÃǵľÑ飬Õâ¸ö½á¹ûºÏÀíô£¿ лл£¡ |
» ²ÂÄãϲ»¶
085600²ÄÁÏÓ뻯¹¤301·ÖÇóµ÷¼ÁԺУ
ÒѾÓÐ5È˻ظ´
081700£¬311£¬Çóµ÷¼Á
ÒѾÓÐ15È˻ظ´
Ò»Ö¾Ô¸±±¾©»¯¹¤085600 310·ÖÇóµ÷¼Á
ÒѾÓÐ18È˻ظ´
²ÄÁÏÓ뻯¹¤371Çóµ÷¼Á
ÒѾÓÐ14È˻ظ´
336²ÄÁÏÓ뻯¹¤085600Çóµ÷¼Á
ÒѾÓÐ7È˻ظ´
²ÄÁÏ334Çóµ÷¼Á
ÒѾÓÐ18È˻ظ´
331Çóµ÷¼Á
ÒѾÓÐ8È˻ظ´
332Çóµ÷¼Á
ÒѾÓÐ17È˻ظ´
Ò»Ö¾Ô¸ÄϾ©º½¿Õº½Ìì´óѧ ²ÄÁÏÓ뻯¹¤329·ÖÇóµ÷¼Á
ÒѾÓÐ4È˻ظ´
²ÄÁÏר˶322
ÒѾÓÐ7È˻ظ´
» ±¾Ö÷ÌâÏà¹Ø¼ÛÖµÌùÍÆ¼ö£¬¶ÔÄúͬÑùÓаïÖú:
Çë½Ì¸÷λ³æÓÑ£¬AlN±¡Ä¤ÄÍÇ¿¼î¸¯Ê´Âð£¿
ÒѾÓÐ15È˻ظ´
Ì×´ÉÐÅÍâµ¼»Ø¸´ÈçÏ£¬Çë½Ì¸÷λ³æÓѸÃÈçºÎ»Ø´ð£¿
ÒѾÓÐ3È˻ظ´
Çë½Ì¸÷λ³æÓѹØÓÚÍÁÈÀÏû½âµÄÎÊÌ⣬ллÁË~~
ÒѾÓÐ6È˻ظ´
Çë½Ì ¸÷λ³æÓÑ ·ÖÎö×迹Æ× Ä£Äâµç·ͼ
ÒѾÓÐ7È˻ظ´
¡¾½»Á÷¡¿Çë½Ì¸÷λ³æÓѼ¸¸öÓйØÔڵ¹úÁôѧÉú»îµÄÎÊÌâ
ÒѾÓÐ24È˻ظ´
Çë½Ì¸÷λ³æÓÑ£¬¹ú»ùÉêÇëÖлرÜÐÅÔõôд£¿
ÒѾÓÐ6È˻ظ´
¡¾ÇóÖú¡¿Ïò¸÷λ³æÓÑÇë½ÌÓйؿ׾¶·Ö²¼ÎÊÌâ
ÒѾÓÐ11È˻ظ´
¼±Çë½Ì£º¸÷λ³æÓÑ£¬°ì¹«ÓÃÆ·Ëã¾·ÑÀïµÄÄÄÒ»Ïî°¡£¿
ÒѾÓÐ9È˻ظ´
¡¾ÇóÖú¡¿Çë½Ì¸÷λ³æÓÑ£º¼±ÐÔÐ£ÈûÖÎÁÆ£¿
ÒѾÓÐ13È˻ظ´
¡¾ÇóÖú¡¿¹ØÓÚXPSÎÊÌâÇë½Ì¸÷λ³æÓÑ
ÒѾÓÐ5È˻ظ´
Ͷ¸åMSE-CÇë½Ì¸÷λ³æÓÑ£¬Ð¡ÐÞ»¹»á·µ»Ø¸øÉó¸åÈËÂð
ÒѾÓÐ17È˻ظ´
¡¾Çë½Ì¡¿¹ØÓÚ¶¯Ì¬CCTÇúÏߺ;²Ì¬CCTÇúÏß
ÒѾÓÐ22È˻ظ´

¡ï
¸Ðл²ÎÓ룬ӦÖúÖ¸Êý +1
Zpffpz: ½ð±Ò+1, ¶àлÌáÐÑ 2012-05-08 19:24:09
¸Ðл²ÎÓ룬ӦÖúÖ¸Êý +1
Zpffpz: ½ð±Ò+1, ¶àлÌáÐÑ 2012-05-08 19:24:09
|
±¾ÌûÄÚÈݱ»ÆÁ±Î |
2Â¥2012-05-08 18:32:34
sourbing
ľ³æ (ÕýʽдÊÖ)
- MM-EPI: 3
- Ó¦Öú: 72 (³õÖÐÉú)
- ¹ó±ö: 0.147
- ½ð±Ò: 1811
- É¢½ð: 21
- ºì»¨: 11
- Ìû×Ó: 751
- ÔÚÏß: 72.2Сʱ
- ³æºÅ: 121794
- ×¢²á: 2005-12-03
- רҵ: ½ðÊô²ÄÁϵÄ΢¹Û½á¹¹
3Â¥2012-05-08 19:32:50
wmm.2008
Òø³æ (ÕýʽдÊÖ)
- Ó¦Öú: 4 (Ó×¶ùÔ°)
- ½ð±Ò: 912.4
- É¢½ð: 299
- ºì»¨: 6
- Ìû×Ó: 700
- ÔÚÏß: 214.7Сʱ
- ³æºÅ: 1333855
- ×¢²á: 2011-06-29
- ÐÔ±ð: GG
- רҵ: ½ðÊô½á¹¹²ÄÁÏ

4Â¥2012-05-09 12:58:06
wmm.2008
Òø³æ (ÕýʽдÊÖ)
- Ó¦Öú: 4 (Ó×¶ùÔ°)
- ½ð±Ò: 912.4
- É¢½ð: 299
- ºì»¨: 6
- Ìû×Ó: 700
- ÔÚÏß: 214.7Сʱ
- ³æºÅ: 1333855
- ×¢²á: 2011-06-29
- ÐÔ±ð: GG
- רҵ: ½ðÊô½á¹¹²ÄÁÏ

5Â¥2012-05-09 12:59:45
madaowo
Ìú¸Ëľ³æ (ÖøÃûдÊÖ)
- Ó¦Öú: 141 (¸ßÖÐÉú)
- ½ð±Ò: 6910
- É¢½ð: 158
- ºì»¨: 30
- Ìû×Ó: 1020
- ÔÚÏß: 444.2Сʱ
- ³æºÅ: 1006787
- ×¢²á: 2010-04-27
- ÐÔ±ð: GG
- רҵ: ½ðÊô²ÄÁϵÄ΢¹Û½á¹¹
¡¾´ð°¸¡¿Ó¦Öú»ØÌû
¡ï ¡ï ¡ï ¡ï ¡ï ¡ï
¸Ðл²ÎÓ룬ӦÖúÖ¸Êý +1
Zpffpz: ½ð±Ò+1, ¶àл½¨Òé 2012-05-09 19:54:50
wmm.2008: ½ð±Ò+5, ¡ï¡ï¡ïºÜÓаïÖú 2012-05-16 13:41:50
¸Ðл²ÎÓ룬ӦÖúÖ¸Êý +1
Zpffpz: ½ð±Ò+1, ¶àл½¨Òé 2012-05-09 19:54:50
wmm.2008: ½ð±Ò+5, ¡ï¡ï¡ïºÜÓаïÖú 2012-05-16 13:41:50
|
µÚÒ»£¬²âÏà±äµãµÄÅòÕÍÇúÏß±¾À´¾ÍÊÇÕâÑùµÄ µÚ¶þ£¬ÄãµÄÕâ¸öCCTͼȷʵ¿´ÆðÀ´³ó£¬Äã¿ÉÒ԰Ѻá×ø±ê¸Ä³ÉlogÐÎʽµÄ£¬ÕâÑù¿´ÆðÀ´¾ÍÏñ×ÊÁÏÀïµÄÄÇÖÖÆ¯ÁÁµÄ»¡¶ÈÇúÏßÁË. |
6Â¥2012-05-09 15:06:19
qing_quan
ľ³æ (ÕýʽдÊÖ)
- Ó¦Öú: 1 (Ó×¶ùÔ°)
- ½ð±Ò: 3074.1
- É¢½ð: 200
- ºì»¨: 1
- Ìû×Ó: 977
- ÔÚÏß: 122.4Сʱ
- ³æºÅ: 224085
- ×¢²á: 2006-03-22
- רҵ: ½ðÊô½á¹¹²ÄÁÏ
7Â¥2012-05-10 14:06:42
lihongbinxp
Òø³æ (СÓÐÃûÆø)
- Ó¦Öú: 14 (СѧÉú)
- ½ð±Ò: 703.4
- Ìû×Ó: 138
- ÔÚÏß: 46.4Сʱ
- ³æºÅ: 942997
- ×¢²á: 2010-01-15
- ÐÔ±ð: GG
- רҵ: ½ðÊô²ÄÁϵÄ΢¹Û½á¹¹
8Â¥2012-05-10 16:26:33
ÖìË¿Óñºø
Ìú¸Ëľ³æ (ÖøÃûдÊÖ)
Сº£±ª
- MM-EPI: 3
- Ó¦Öú: 38 (СѧÉú)
- ¹ó±ö: 0.078
- ½ð±Ò: 7283.3
- É¢½ð: 40
- ºì»¨: 129
- Ìû×Ó: 2189
- ÔÚÏß: 318.8Сʱ
- ³æºÅ: 938298
- ×¢²á: 2010-01-07
- רҵ: ÄÜÔ´»¯¹¤
¡¾´ð°¸¡¿Ó¦Öú»ØÌû
¡ï
¸Ðл²ÎÓ룬ӦÖúÖ¸Êý +1
qlf_126: ½ð±Ò+1, ¸Ðлר¼Ò ²ÎÓë½»Á÷£¡ 2012-05-11 11:57:19
¸Ðл²ÎÓ룬ӦÖúÖ¸Êý +1
qlf_126: ½ð±Ò+1, ¸Ðлר¼Ò ²ÎÓë½»Á÷£¡ 2012-05-11 11:57:19
| ºá×øÈç¹û²»ÊÇlogÐÎʽӦ¸ÃÊÇбֱÏß°¡£¬Õâ¸öÀäÈ´ËÙÂÊÏßÓëÊý¾ÝÎ޹ذɣ¿ÓëÄãÉ趨µÄÀäÈ´ËÙÂÊÓйأ¬¾ÍÊÇûÓнøÐÐÊÔÑéÕâ¸öͼҲÄÜ»³öÀ´£¬¹Ø¼üÊÇÀïÃæÏà±äµã»æÖƵÄÏß²ÅÊÇcctÇúÏß°É£¿·ÖΪÏà±ä¿ªÊ¼ÏߺͽáÊøÏߣ¡ÕâÁ½ÌõÏß²ÅÊÇÊÔÑéÊý¾Ý×ö³öÀ´µÄ |

9Â¥2012-05-11 08:31:03
wmm.2008
Òø³æ (ÕýʽдÊÖ)
- Ó¦Öú: 4 (Ó×¶ùÔ°)
- ½ð±Ò: 912.4
- É¢½ð: 299
- ºì»¨: 6
- Ìû×Ó: 700
- ÔÚÏß: 214.7Сʱ
- ³æºÅ: 1333855
- ×¢²á: 2011-06-29
- ÐÔ±ð: GG
- רҵ: ½ðÊô½á¹¹²ÄÁÏ

10Â¥2012-05-16 13:43:18














»Ø¸´´ËÂ¥
