| 查看: 396 | 回复: 1 | ||
天黑了1银虫 (初入文坛)
|
[求助]
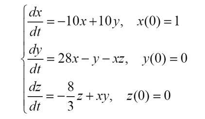
matlab 求微分方程数值解
|
|
![]() |
||
|
|
||
|
||
|
2楼2012-04-28 00:52:51
|
|













回复此楼