| 查看: 259 | 回复: 1 | ||
[求助]
赚了点,怎么追加?求助高手:一个双重积分的matlab编写
|
||
|
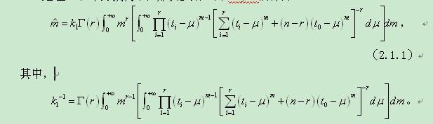
附件里是式子,式子里ti,t0,n,r,都是已知的,我编写的在没有带入k1的时候已经算不动了,求高手指导啊!!!!!不好意思,只有这么点钱,倾家荡产求助。。。T T 式子 [ Last edited by sili1011 on 2012-4-19 at 12:25 ] |
» 猜你喜欢
263求调剂
已经有4人回复
石河子大学(211、双一流)硕博研究生长期招生公告
已经有3人回复
一志愿西安交通大学材料工程专业 282分求调剂
已经有13人回复
北科281学硕材料求调剂
已经有6人回复
328求调剂,英语六级551,有科研经历
已经有10人回复
298求调剂
已经有6人回复
310求调剂
已经有4人回复
311求调剂
已经有6人回复
307求调剂
已经有11人回复
材料与化工085600,总分304,本科有两篇sci参与,求调剂
已经有5人回复
» 本主题相关价值贴推荐,对您同样有帮助:
求高手用matlab做一个动画
已经有3人回复
matlab 气泡边缘提取 求助高手!!
已经有5人回复
请教matlab高手 求定积分
已经有3人回复
【求助】matlab 计算一个二重积分,高手们帮帮忙吧
已经有6人回复
【求助】请各位高手告诉我:这种想法能不能用matlab实现?200金币求助
已经有16人回复
【求助】初学matlab 请教一个很简单的问题 非常感谢高手们
已经有3人回复
【求助】【求助】寻求matlab年轻高手
已经有14人回复
【求助】用matlab编程,需要将数据自检分类(高手进来指点下)
已经有5人回复
【求助】请教Matlab高手积分作图
已经有3人回复
【求助】请教Matlab高手求定积分近似值问题
已经有4人回复
【求助】请教Matlab高手根据积分作图问题
已经有3人回复
【求助】请教Matlab高手根据积分画图问题
已经有4人回复
2楼2012-04-19 15:42:56













回复此楼