| 查看: 407 | 回复: 2 | ||
[求助]
荧光的分析
|
|
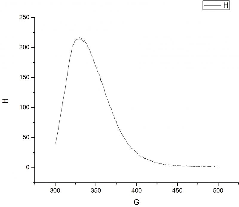
我做的一种生物酶的荧光的定量分析,激发光是280,发现纯水在320左右会有峰出现,而且强度会随着酶浓度的增大而增大, 1.这个峰是拉曼峰吗, 2.拉曼峰强度还会随着浓度增大而变化吗 3.在做实验时如何消除拉曼峰的影响呢 4.我在做定量时可以使用拉曼峰做标准曲线吗,因为似乎检测不到别的峰,只有浓度特别大的时候才会在330处有强吸收! 酶浓度较低的时候 酶浓度较高的时候 |
» 猜你喜欢
拟解决的关键科学问题还要不要写
已经有8人回复
26申博
已经有3人回复
存款400万可以在学校里躺平吗
已经有22人回复
最失望的一年
已经有4人回复
国自然申请面上模板最新2026版出了吗?
已经有19人回复
请教限项目规定
已经有3人回复
基金委咋了?2026年的指南还没有出来?
已经有10人回复
基金申报
已经有6人回复
推荐一本书
已经有13人回复
疑惑?
已经有5人回复
songyuze0319
金虫 (正式写手)
- 应助: 18 (小学生)
- 金币: 5983.8
- 红花: 18
- 帖子: 454
- 在线: 384.7小时
- 虫号: 1130582
- 注册: 2010-10-24
- 专业: 分析仪器与试剂
2楼2012-04-11 16:51:48
3楼2012-04-11 17:10:50













回复此楼