| ²é¿´: 238 | »Ø¸´: 0 | ||
shengjunjieľ³æ (ÕýʽдÊÖ)
|
[ÇóÖú]
ÔõôÓÃmatlabÇó½âÏÂÁк¯Êý
|
|
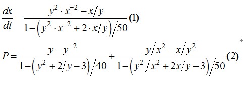
¶Ômatlab²»ÊǺÜÊìϤ£¬ÓÐÄÇλ¸ßÊÖÖ¸µãÏ ·½³ÌÈçͼƬËùʾ£¬Á½¸ö·½³Ì£¨1£©£¨2£©£¬¾ÍÊÇÏëÓÃmatlabÖ±½Ó°ÑÖмä±äÁ¿xÏûÈ¥£¬È»ºó£¬»¯¼ò³ÉyºÍtµÄº¯Êý£¬»Í¼£¬ÆäÖÐPÊÇÔ¤ÉèµÄ²ÎÊý£¨ÈÏΪÊdz£Á¿£© ²»Ê¤¸Ð¼¤ |
» ²ÂÄãϲ»¶
Çóµ÷¼Á
ÒѾÓÐ3È˻ظ´
297Çóµ÷¼Á
ÒѾÓÐ13È˻ظ´
288Çóµ÷¼Á Ò»Ö¾Ô¸¹þ¹¤´ó ²ÄÁÏÓ뻯¹¤
ÒѾÓÐ12È˻ظ´
085600£¬320·ÖÇóµ÷¼Á
ÒѾÓÐ10È˻ظ´
085600²ÄÁÏÓ뻯¹¤µ÷¼Á
ÒѾÓÐ27È˻ظ´
Çóµ÷¼Á£¬Ò»Ö¾Ô¸Ö£ÖÝ´óѧ²ÄÁÏÓ뻯¹¤×¨Ë¶£¬Ó¢¶þÊý¶þ342·Ö£¬ÇóÀÏʦÊÕÁô
ÒѾÓÐ19È˻ظ´
292Çóµ÷¼Á
ÒѾÓÐ4È˻ظ´
270»¯¹¤Çóµ÷¼Á
ÒѾÓÐ6È˻ظ´
²ÄÁÏ295
ÒѾÓÐ14È˻ظ´
266Çóµ÷¼Á
ÒѾÓÐ8È˻ظ´

ÕÒµ½Ò»Ð©Ïà¹ØµÄ¾«»ªÌû×Ó£¬Ï£ÍûÓÐÓÃŶ~
matlaBÇó½â¶àÏîʽ·´º¯ÊýÓö×è
ÒѾÓÐ7È˻ظ´
ÔõôÓÃmatlabÇóÏÂÃæµÄÒ»Ôª¶à´Î¸´ÔÓº¯Êý
ÒѾÓÐ4È˻ظ´
¡¾ÇóÖú¡¿ÈçºÎÇó½âÏÂÁÐÆ«Î¢·Ö·½³Ì
ÒѾÓÐ13È˻ظ´
¡¾ÇóÖú¡¿matlabÈçºÎÇó½âsincº¯ÊýµÄ·´º¯Êý
ÒѾÓÐ5È˻ظ´
¿ÆÑдÓСľ³æ¿ªÊ¼£¬ÈËÈËΪÎÒ£¬ÎÒΪÈËÈË














»Ø¸´´ËÂ¥
µã»÷ÕâÀïËÑË÷¸ü¶àÏà¹Ø×ÊÔ´