| 查看: 223 | 回复: 1 | ||
shushen_jian
|
[求助]
帮忙选个可能的内标物!!!
|
|
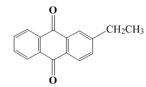
原料:苯酐 产物:2-乙基蒽醌 结构式如图所示: 刚刚开始做分析,气相分析时此时,苯酐大约在4min左右出峰,2-乙基蒽醌大约在10min左右出峰,请大家帮忙找个可行的内标物,谢谢大家了! 苯酐 2-乙基蒽醌 [ Last edited by shushen_jian on 2012-3-18 at 17:14 ] |
» 猜你喜欢
有时候真觉得大城市人没有县城人甚至个体户幸福
已经有9人回复
CSC & MSCA 博洛尼亚大学能源材料课题组博士/博士后招生|MSCA经费充足、排名优
已经有6人回复
天津大学招2026.09的博士生,欢迎大家推荐交流(博导是本人)
已经有4人回复
同年申请2项不同项目,第1个项目里不写第2个项目的信息,可以吗
已经有3人回复
退学或坚持读
已经有28人回复
面上项目申报
已经有3人回复
酰胺脱乙酰基
已经有9人回复
博士延得我,科研能力直往上蹿
已经有7人回复
面上基金申报没有其他的参与者成吗
已经有5人回复
遇见不省心的家人很难过
已经有22人回复
» 本主题相关价值贴推荐,对您同样有帮助:
气相色谱法测脂肪酸内标物的选择
已经有12人回复
气相色谱内标物选择
已经有8人回复
气相色谱内标物的选择!
已经有3人回复
石油沥青类样品气质的内标物选取
已经有3人回复
河南考生,理科,今年考了596分,帮忙选个学校
已经有45人回复
内标物可以选择待测液中含有的物质吗?
已经有6人回复
如何选择内标物
已经有4人回复
【求助】内标物的合理选择
已经有5人回复
【讨论】选取内标物
已经有6人回复
【求助/交流】请大家帮帮忙选个有前景的生物专业
已经有24人回复
【求助】电化学还原氧化铁的过程,帮忙选择个答案。
已经有7人回复
【求助】帮帮忙 选哪个职位啊 马上报名就要结束了
已经有12人回复
【求助】怎样选择内标物?急
已经有12人回复
有奖【求助】气相色谱 内标物选择主要原则(N,N-二甲基甲酰胺适合做内标物么)
已经有9人回复
【交流】药动学中内标物的选择!
已经有4人回复

2楼2012-04-09 19:11:01














回复此楼