| ²é¿´: 1540 | »Ø¸´: 5 | ||
| ±¾Ìû²úÉú 1 ¸ö TEPI £¬µã»÷ÕâÀï½øÐв鿴 | ||
zhanglei0314½ð³æ (СÓÐÃûÆø)
|
[ÇóÖú]
˲ʱÁ÷ËÙ¼ÆËãÎÊÌâ
|
|
|
´ó¼ÒºÃÇë½ÌÒ»¸öÎÊÌâ ÓøßÑ¹ÆøÌ壨±ÈÈç0.5MPa£¬£©¸øµÍѹ¹Þ³äѹ£¨³õʼѹÁ¦0.1MPa)¹Þ×ÓÊÇ5M3µÄ£¬Á¬½Ó¹ÜÏßÊÇDN50µÄ£¬ÔõÑù¼ÆËã¹ý³ÌÖеÄ˲ʱËÙ¶È£¿£¿ÓÐÄÇЩ¹«Ê½Â𣿠ÁíÍâÒªÊÇÁ½¸ö¹Þ×Ó¾ùѹ£¬Ê±¼äÔõô¼ÆË㣿£¿ Âé·³´ó¼Ò¸øµã½¨Ò飬лл |
» ²ÂÄãϲ»¶
»ªÄÏʦ·¶´óѧÕÐÊÕ2026Äêµ÷¼ÁÉú
ÒѾÓÐ1È˻ظ´
ÉϺ£¹¤³Ì´óѧÎáÂó¶ûÀÏʦÕÐÊÕҩѧÏà¹Ø×¨Òµµ÷¼Á¿¼Éú
ÒѾÓÐ0È˻ظ´
ÎïÀí»¯Ñ§ÂÛÎÄÈóÉ«/·ÒëÔõôÊÕ·Ñ?
ÒѾÓÐ78È˻ظ´
¹ã¶«Ò½¿Æ´óѧ£¨¶«Ý¸ËÉɽºþÐ£Çø£©ÉúÎïҽѧ¹¤³ÌѧÊõÐÍ˶ʿ½ÓÊÕµ÷¼Á£¡
ÒѾÓÐ7È˻ظ´
Õã½áéÖÝ£¬»¯²Äµ÷¼ÁÐÅÏ¢£¨»¶Ó0854µçÆø¡¢0855»úе¡¢0856¼°¸÷λ·ûºÏµÄͬѧ×ÉѯŶ£©
ÒѾÓÐ8È˻ظ´
½Î÷¿Æ¼¼Ê¦·¶´óѧ·ÖÎö»¯Ñ§×¨Òµ¶ÎѧÃñ½ÌÊÚ¿ÎÌâ×éÕÐÆ¸µ÷¼ÁѧÉú
ÒѾÓÐ11È˻ظ´
²ÄÁÏÓ뻯¹¤×¨Ë¶£¨²ÄÁϹ¤³Ì£©Óе÷¼ÁÃû¶î
ÒѾÓÐ1È˻ظ´
¸ÓÄÏÒ½¿Æ´óѧ-ҽѧÐÅÏ¢¹¤³ÌѧԺ-×éÖ¯¹¤³Ì²ÄÁÏ/ÉúÎïÒ½Óø߷Ö×Ó²ÄÁÏ µ÷¼ÁÕÐÉú
ÒѾÓÐ0È˻ظ´
2026¹ã¶«Ò½¿Æ´óѧÉúÎïҽѧ¹¤³Ìѧ˶½ÓÊÕµ÷¼Á£¡
ÒѾÓÐ22È˻ظ´
2026¹ã¶«Ò½¿Æ´óѧÉúÎïҽѧ¹¤³Ìѧ˶¡¢µç×ÓÐÅϢר˶½ÓÊÕµ÷¼Á
ÒѾÓÐ7È˻ظ´
» ±¾Ö÷ÌâÏà¹Ø¼ÛÖµÌùÍÆ¼ö£¬¶ÔÄúͬÑùÓаïÖú:
´¿ÀíÂÛ¼ÆËãͶ¸åµÄÎÊÌâ
ÒѾÓÐ21È˻ظ´
ÓйØÀë×Ó½»»»ÖùµÄÁ÷ËÙÎÊÌâ
ÒѾÓÐ7È˻ظ´
¡¾ÇóÖú¡¿ÉúÎïÂ˳ØÁ÷ËÙ¼ÆËãµÄÎÊÌâ
ÒѾÓÐ3È˻ظ´
¡¾½»Á÷¡¿Ò©µäÉ«Æ×·ÖÎö·½·¨µÄÁ÷ËÙÎÊÌâ
ÒѾÓÐ4È˻ظ´
¡¾ÇóÖú¡¿¼×ÍéË®ÆûÖØÕûÖÆÇâÖÐÔõô¼ÆËã¼×ÍéµÄת»¯ÂÊ£¬ÒªÓÃÎ²ÆøµÄÁ÷ËÙÂð
ÒѾÓÐ6È˻ظ´
¡¾ÇóÖú¡¿Ã«Ï¸¹ÜÖùÁ÷ËÙÎÊÌâ
ÒѾÓÐ7È˻ظ´
ÇàʯKL
ľ³æ (ÕýʽдÊÖ)
Éú»î¡¢Ñ§Ï°¡¢Ô˶¯Ö®Çàʯ
- TEPI: 18
- Ó¦Öú: 191 (¸ßÖÐÉú)
- ¹ó±ö: 0.045
- ½ð±Ò: 1784.8
- É¢½ð: 118
- ºì»¨: 22
- Ìû×Ó: 716
- ÔÚÏß: 265.1Сʱ
- ³æºÅ: 1613324
- ×¢²á: 2012-02-12
- רҵ: ´«ÈÈ´«ÖÊѧ
¡¾´ð°¸¡¿Ó¦Öú»ØÌû
¡ï ¡ï ¡ï ¡ï ¡ï ¡ï ¡ï ¡ï ¡ï ¡ï ¡ï ¡ï ¡ï ¡ï ¡ï
¸Ðл²ÎÓ룬ӦÖúÖ¸Êý +1
mjlyxm: ½ð±Ò+3, ¸ÐлÈÏÕæ½»Á÷£¬»¶Ó³£À´¹¤ÒÕ¼¼Êõ°æ~~O(¡É_¡É)O~ 2012-03-15 12:50:19
zhanglei0314: ½ð±Ò+10, ¡ï¡ï¡ïºÜÓаïÖú, ¼ÆËãÁËһϠ£¬±ÈÔÚ±ðµØ·½ÕÒµ½µÄ·½·¨¼òµ¥Ð©£¬Ð»Ð» 2012-03-19 15:08:42
mjlyxm: ½ð±Ò+2, TEPI+1, »Ø´ðµÄºÜÈÏÕæ£¬ÐÁ¿àÁË£¬½±ÀøEPIһö~~O(¡É_¡É)O~ 2012-03-26 15:53:09
¸Ðл²ÎÓ룬ӦÖúÖ¸Êý +1
mjlyxm: ½ð±Ò+3, ¸ÐлÈÏÕæ½»Á÷£¬»¶Ó³£À´¹¤ÒÕ¼¼Êõ°æ~~O(¡É_¡É)O~ 2012-03-15 12:50:19
zhanglei0314: ½ð±Ò+10, ¡ï¡ï¡ïºÜÓаïÖú, ¼ÆËãÁËһϠ£¬±ÈÔÚ±ðµØ·½ÕÒµ½µÄ·½·¨¼òµ¥Ð©£¬Ð»Ð» 2012-03-19 15:08:42
mjlyxm: ½ð±Ò+2, TEPI+1, »Ø´ðµÄºÜÈÏÕæ£¬ÐÁ¿àÁË£¬½±ÀøEPIһö~~O(¡É_¡É)O~ 2012-03-26 15:53:09
|
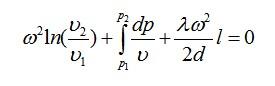
¢Ù¼ÆËã˲ʱÁ÷ËÙ£ºÒÀ¾Ý²®Å¬Àû·½³Ì£¬¡÷P/¦Ñ=hf£¬hf=¦Ë*(l/d)*(u^2/2),µ±È»ÕâÆäÖйؼüµÄÊǦˣ¬ÎÒ¾õµÃÓ¦¸Ã´¦ÓÚ×èÁ¦Æ½·½Çø£¨ÏȼÙÉè¦ËËã³öÁ÷ËÙ£¬È»ºóͨ¹ýÁ÷ËÙ¼ÆËãÀ×ŵÊýRe£¬È»ºóÑéÖ¤¦Ë£©¡£ ¢Ú¼ÆËãʱ¼äÐèÒªÓ¦ÓÃÖÊÁ¿Êغ㶨ÂÉ£ºqm,in=dm/dt£¬£¨²Î¿´»¯¹¤ÔÀíÖÊÁ¿ÊغãÓëÁ¬ÐøÐÔ·½³Ì¡£ÆäÖÐqm,in=¦Ñ*Ap*u£¨ApΪ½ØÃæ»ý£©¡£ÄÇôdm/dtÔõô¼ÆËãÁË£¿ ¢Û¼ÙÉèÆøÌåÂú×ãÀíÏë״̬·½³ÌPV=nRT(µ±È»ÆäËûµÄ·½³ÌÒ²Êʺϣ©£¬m=M(Ħ¶ûÖÊÁ¿£©*PV/RT¡£dm/dt=d£¨PVM/RT)/dt£¨ÆäÖÐPÊDZäÁ¿£¬ÆäËûµÄΪ¹Ì¶¨Öµ£© ¢Ü£¬¢ÙÖеļÆËã¿ÉµÃ³öu=sqrt[2*¡÷P*d/(¦Ñ*¦Ë*l)]£¬ÆäÖС÷P=0.5MPa-P£¨pΪ¹Þ×Ó2ÀïÃæµÄ˲ʱѹÁ¦£©½«u=sqrt[2*¡÷P*d/(¦Ñ*¦Ë*l)]¡¢dm/dt=d£¨PVM/RT)/dt´øÈëqm,in=dm/dt¿ÉÒԵõ½dt=VM/{¦Ñ*Ap*RT*sqrt[2*d/(¦Ñ*¦Ë*l)]}*[dP/sqrt(0.5MPa-P)]£¬»ý·Ö¾ÍÊÇÄúµÄʱ¼ä¡£ Ï£Íû¶ÔÄãÓаïÖú¡£ |

3Â¥2012-03-15 10:30:09
yuxin8860
½ð³æ (ÕýʽдÊÖ)
- TEPI: 5
- Ó¦Öú: 17 (СѧÉú)
- ½ð±Ò: 1418.1
- ºì»¨: 2
- Ìû×Ó: 729
- ÔÚÏß: 65.4Сʱ
- ³æºÅ: 306565
- ×¢²á: 2006-12-16
- ÐÔ±ð: MM
- רҵ: »¯¹¤ÏµÍ³¹¤³Ì
2Â¥2012-03-15 10:13:13
zhanglei0314
½ð³æ (СÓÐÃûÆø)
- Ó¦Öú: 2 (Ó×¶ùÔ°)
- ½ð±Ò: 583
- Ìû×Ó: 81
- ÔÚÏß: 61.6Сʱ
- ³æºÅ: 1173141
- ×¢²á: 2010-12-19
- רҵ: ×ÊÔ´»¯¹¤
4Â¥2012-03-19 15:07:47
À¶Ìì¸¡ÔÆ
½ð³æ (ÕýʽдÊÖ)
- Ó¦Öú: 0 (Ó×¶ùÔ°)
- ½ð±Ò: 723.4
- ºì»¨: 2
- Ìû×Ó: 453
- ÔÚÏß: 51.6Сʱ
- ³æºÅ: 284227
- ×¢²á: 2006-10-08
- ÐÔ±ð: GG
- רҵ: »¯¹¤Ò±½ð
5Â¥2012-03-26 09:59:45
ÇàʯKL
ľ³æ (ÕýʽдÊÖ)
Éú»î¡¢Ñ§Ï°¡¢Ô˶¯Ö®Çàʯ
- TEPI: 18
- Ó¦Öú: 191 (¸ßÖÐÉú)
- ¹ó±ö: 0.045
- ½ð±Ò: 1784.8
- É¢½ð: 118
- ºì»¨: 22
- Ìû×Ó: 716
- ÔÚÏß: 265.1Сʱ
- ³æºÅ: 1613324
- ×¢²á: 2012-02-12
- רҵ: ´«ÈÈ´«ÖÊѧ
¡ï
3088: ½ð±Ò+1, ¹ÄÀø²ÎÓë½»Á÷,Ï£Íû¸ø¹¤ÒÕ¼¼Êõ´øÀ´¸ü¶àµÄ½»Á÷Ìû×Ó£¬o(¡É_¡É)o...£¡ 2012-03-26 15:40:21
3088: ½ð±Ò+1, ¹ÄÀø²ÎÓë½»Á÷,Ï£Íû¸ø¹¤ÒÕ¼¼Êõ´øÀ´¸ü¶àµÄ½»Á÷Ìû×Ó£¬o(¡É_¡É)o...£¡ 2012-03-26 15:40:21

6Â¥2012-03-26 14:47:00














»Ø¸´´ËÂ¥