| 查看: 1148 | 回复: 3 | ||
455268607
|
[求助]
[求助】1题结构化学
|
|
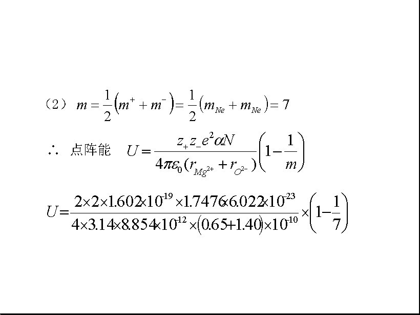
[求助】1题结构化学, 如下: 1)已知MgO晶体属于立方晶体,Mg2+的离子半径为0.65埃,O2-离子半径为1.40埃,试推测MgO晶体的结构型式。 2)已知NaCl、CsCl、立方ZnS的马德隆常数分别为1.7476、1.7627、1.6318,He、Ne、Ar的波恩指数分别为5、7、9,求晶体的点阵能。 3)求MgO晶体的空间利用率。 常用物理常数c=2.997925X10 8m/s N=6.02205X10 23mol-1 h=6.6262X10 -34j.s |
» 本帖已获得的红花(最新10朵)
» 猜你喜欢
中南大学化学化工学院易小艺教授课题组招收2026级博士研究生(第二轮)
已经有0人回复
求助
已经有1人回复
无机化学论文润色/翻译怎么收费?
已经有66人回复
0703化学26考研调剂,一志愿南昌大学
已经有2人回复
有没有化学、材料专业的同学需要调剂 考虑天津高效的可以邮件或者私信
已经有1人回复
26年博士招生
已经有16人回复
江西理工大学功能晶态材料方向刘遂军课题组招收2026年秋季入学博士研究生
已经有10人回复
宁夏大学团簇新材料团队招收材料/化学/化工专业博士生
已经有0人回复
MIL-101有单晶样品吗
已经有1人回复
西北大学26年化学博士招生
已经有3人回复
收调剂研究生
已经有2人回复
» 本主题相关价值贴推荐,对您同样有帮助:
【求助】怎样学好《结构化学》
已经有23人回复
【求助】电子态1Δg,1∑+g,2p等怎么定义的,
已经有8人回复
【求助】结构化学题求助
已经有5人回复
【求助】结构化学哪本书较好
已经有16人回复
【求助】有没那位大侠对结构化学 特别精通的 周公度那书?
已经有18人回复
【求助】长春应化所的《(高等)无机化学》和《配位化学》或《结构化学》课件
已经有2人回复
【求助】结构化学东北师范大学课件、课后答案
已经有2人回复
【求助】Gaussian程序中需要的自旋多重度如何确定
已经有7人回复
【求助】向各位高手请教:量子化学应该怎么学?
已经有24人回复
【求助】有没有结构化学高手,帮我看看这两幅图表示啥意思呢
已经有7人回复
bible2
版主 (职业作家)
- CMEI: 3
- 应助: 545 (博士)
- 贵宾: 0.093
- 金币: 32073.7
- 散金: 1030
- 红花: 174
- 沙发: 1
- 帖子: 4801
- 在线: 2833.9小时
- 虫号: 265520
- 注册: 2006-07-15
- 专业: 无机非金属类光电信息与功
- 管辖: 无机非金属
★
lijunjie84(金币+1): niubility! 2012-03-03 14:12:48
lijunjie84(金币+1): niubility! 2012-03-03 14:12:48
2楼2012-03-03 12:17:02
455268607
铁杆木虫 (正式写手)
- 应助: 0 (幼儿园)
- 金币: 2070.8
- 散金: 412
- 红花: 2
- 帖子: 328
- 在线: 52.2小时
- 虫号: 1282580
- 注册: 2011-05-01
- 性别: GG
- 专业: 无机材料化学
3楼2012-03-03 12:42:28
bible2
版主 (职业作家)
- CMEI: 3
- 应助: 545 (博士)
- 贵宾: 0.093
- 金币: 32073.7
- 散金: 1030
- 红花: 174
- 沙发: 1
- 帖子: 4801
- 在线: 2833.9小时
- 虫号: 265520
- 注册: 2006-07-15
- 专业: 无机非金属类光电信息与功
- 管辖: 无机非金属
4楼2012-03-03 14:16:22













回复此楼
455268607