| 查看: 1103 | 回复: 4 | |||
[求助]
急急急 matlab中解方程的问题(很简单的)!
|
|
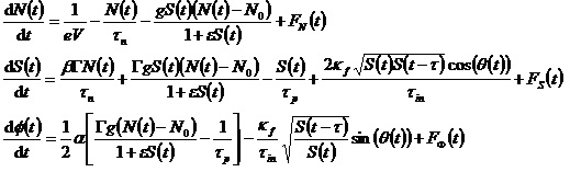
我在解下面这个方程时,出现的问题: 因为是三个方程,其中方程中有除法,分母一项中有相位S(t),可能会出现接近0的数,所以相除后会出现很大的数 计算机算不完。 有人说可以在分母那一项上加上一个计算机最小单位,matlab中好像是c开头的,但具体不知道什么?请大家帮帮忙,c开头的那个到底是什么?我该如何解决这个问题? |
» 猜你喜欢
287求调剂
已经有5人回复
274求调剂
已经有4人回复
308求调剂
已经有14人回复
本科郑州大学,一志愿华东师范大学282求调剂
已经有24人回复
化学308分求调剂
已经有18人回复
求材料调剂,一志愿郑州大学289分
已经有19人回复
277求调剂
已经有5人回复
一志愿211,化学310分,本科重点双非,求调剂
已经有10人回复
266求调剂
已经有14人回复
申博
已经有8人回复
» 本主题相关价值贴推荐,对您同样有帮助:
求助Matlab解方程问题
已经有6人回复
Matlab中RBF建模,仿真是遇到的问题
已经有6人回复
MATLAB解方程出现??? Subscripted assignment dimension mismatch.
已经有3人回复
matlab做函数图象的问题
已经有6人回复
【求助】如何在MATLAB中作出一个随机平面,急急急!!!
已经有3人回复
【求助】请教一个关于解方程的问题
已经有8人回复
【求助】问一个关于matlab中legend的问题
已经有11人回复
【求助】matlab中保存计算数据的问题
已经有8人回复

dbb627
荣誉版主 (著名写手)
-

专家经验: +4 - 仿真EPI: 6
- 应助: 289 (大学生)
- 贵宾: 0.589
- 金币: 24640.4
- 散金: 551
- 红花: 61
- 沙发: 1
- 帖子: 1246
- 在线: 1794.8小时
- 虫号: 149791
- 注册: 2005-12-29
- 性别: GG
- 专业: 污染控制化学
- 管辖: 计算模拟

2楼2012-03-03 09:50:32

3楼2012-03-03 14:47:00

4楼2012-03-14 13:56:39
5楼2012-03-14 14:36:43














回复此楼