| ²é¿´: 2322 | »Ø¸´: 10 | ||
| ±¾Ìû²úÉú 1 ¸ö TEPI £¬µã»÷ÕâÀï½øÐв鿴 | ||
¶Å¿ËË¹Òø³æ (ÕýʽдÊÖ)
|
[ÇóÖú]
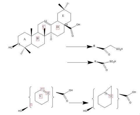
100½ð±ÒÇóºÏ³É·ÏßÉè¼Æ·½°¸
|
|
![]() |
||
|
|
||
| »ØÌûÖö¥ ( ¹²ÓÐ2¸ö ) | ||
¶Å¿ËË¹Òø³æ (ÕýʽдÊÖ)
|
||
![]() |
||
|
4Â¥2012-02-27 15:57:47
|
|
|
PSAר¼Ò¹ËÎÊ (ÖøÃûдÊÖ)
|
¡¾´ð°¸¡¿Ó¦Öú»ØÌû
mjlyxm(½ð±Ò+3, TEPI+1): ·Ç³£¸ÐлÄúÈÏÕæµÄ½»Á÷£¬¹¤ÒÕ¼¼Êõ°æ»¶ÓÄú³£À´~~O(¡É_¡É)O~ 2012-02-28 20:56:25
» ±¾Ìû¸½¼þ×ÊÔ´Áбí
2012-02-28 16:31:19, 8.8 K
» ±¾ÌûÒÑ»ñµÃµÄºì»¨£¨×îÐÂ10¶ä£© |
|
|
8Â¥2012-02-28 16:33:49
|
|
|
| ÆÕͨ»ØÌû | ||
|
2Â¥2012-02-27 09:43:33
|
|
|
|
3Â¥2012-02-27 09:44:02
|
|
|
PSAר¼Ò¹ËÎÊ (ÖøÃûдÊÖ)
|
||
|
5Â¥2012-02-28 13:33:29
|
|
|
¶Å¿ËË¹Òø³æ (ÕýʽдÊÖ)
|
||
![]() |
||
|
6Â¥2012-02-28 15:35:40
|
|
|
¶Å¿ËË¹Òø³æ (ÕýʽдÊÖ)
|
||
![]() |
||
|
7Â¥2012-02-28 15:37:05
|
|
|
¶Å¿ËË¹Òø³æ (ÕýʽдÊÖ)
|
||
![]() |
||
|
9Â¥2012-03-04 22:22:13
|
|
|
¶Å¿ËË¹Òø³æ (ÕýʽдÊÖ)
|
||
![]() |
||
|
10Â¥2012-03-04 22:25:58
|
|
|














»Ø¸´´ËÂ¥
¶Å¿Ë˹